Thermal convection in conducting fluids under the influence of a magnetic field is a hot research topic. In this study, a high-precision and high-resolution numerical method is used to directly simulate the double-diffusive convection of liquid metal in a two-dimensional cavity. The study covers the effects of magnetic field strength (
Ha), Prandtl number (
Pr), Lewis number (
Le), and aspect ratio on the dynamics of flow and heat/mass transfer under both horizontal magnetic field and vertical magnetic field. The study considers magnetic field intensities ranging from 0 to 100, Prandtl numbers from 0.01 to 1, Lewis numbers varying from 1 to 100, and aspect ratios spanning from 1 to 12. Within these specified parameter ranges, the outcomes under conditions of no magnetic field (
Ha= 0), weak magnetic field (
Ha= 10), and strong magnetic field (
Ha= 50) are compared with each other.
The results show that the magnetic field primarily suppresses flow, heat transfer, and mass transfer. Under the same strength of the magnetic field, the horizontal magnetic field has a greater suppressing effect than the vertical magnetic field. However, the cases of weak magnetic field and strong magnetic field, their effects on heat and mass transfer are similar. Regardless of the orientation and strength of the magnetic field, the heat transfer efficiency and mass transfer efficiency always increase with Prandtl number increasing. The application of a magnetic field can reduce the increase in heat and mass transfer, and when the magnetic field strength reaches a certain level, the Lorentz force predominates, making the influence of the Prandtl number on heat and mass transfer very small. In the presence of a magnetic field, a bifurcation phenomenon is observed around
Pr= 0.9.
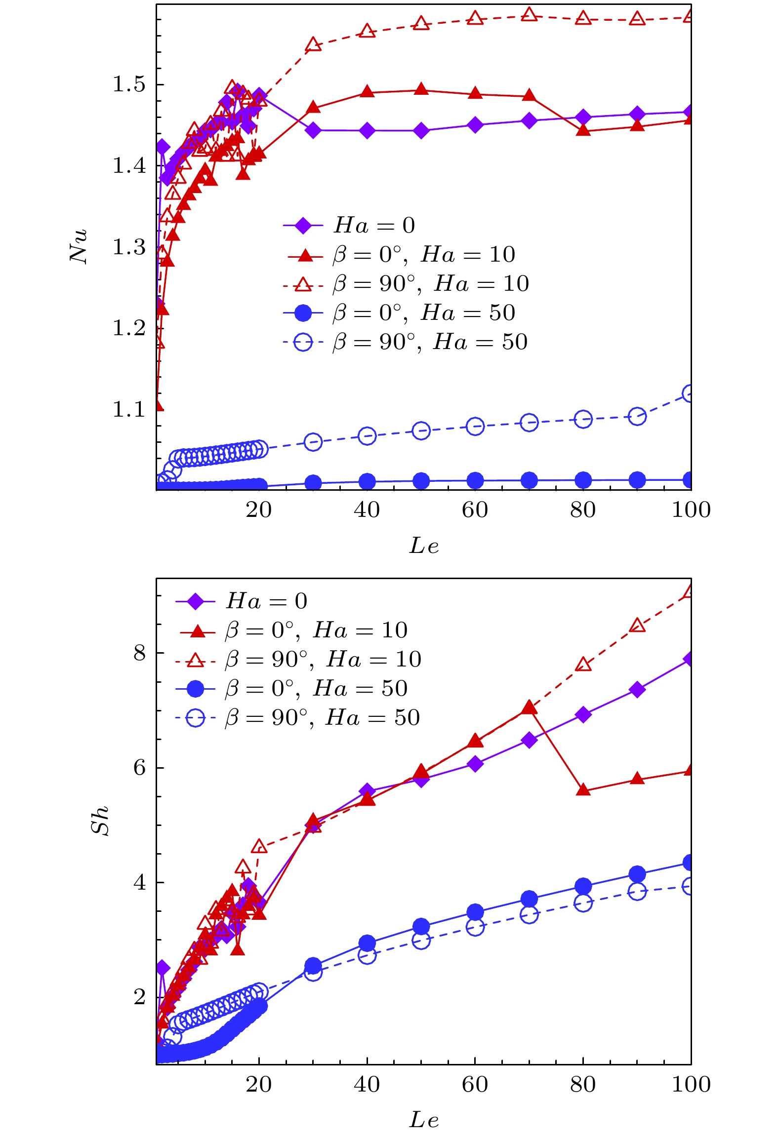
Additionally, as the Lewis number increases, the flow transforms from steady flow to periodic flow, and the influence on mass transfer efficiency becomes more significant. For example, under a horizontal magnetic field, the mass transfer efficiency at the maximum Lewis number is about six times that at the minimum Lewis number. Similarly, under a weak vertical magnetic field, the mass transfer efficiency is about nine times higher. The influence of Lewis number on heat transfer efficiency is relatively minor.
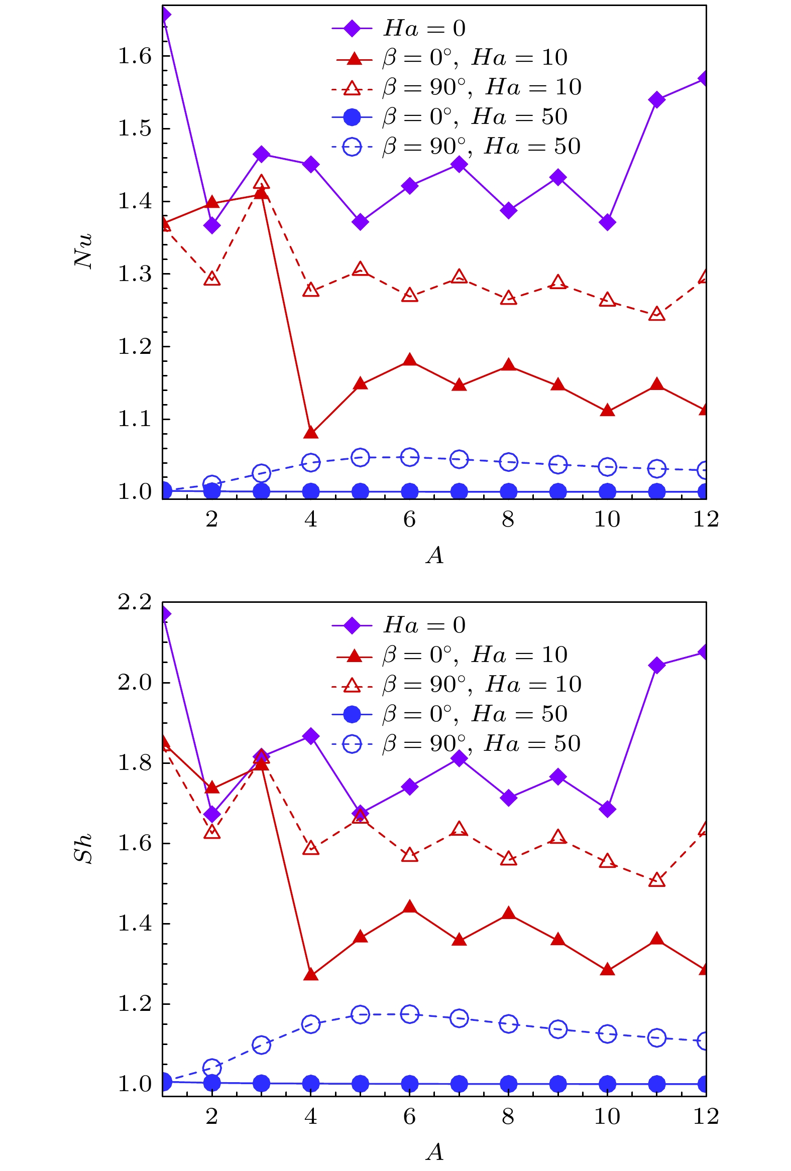
Within the range of considered aspect ratios, the heat transfer efficiency and mass transfer efficiency exhibit oscillatory behavior under no magnetic field and weak magnetic field as the aspect ratio increases. However, the heat transfer efficiency and mass transfer efficiency under a strong magnetic field are less affected by the aspect ratio. For flows with the same number of vortices, lower aspect ratio can lead to stronger heat and mass transfer.