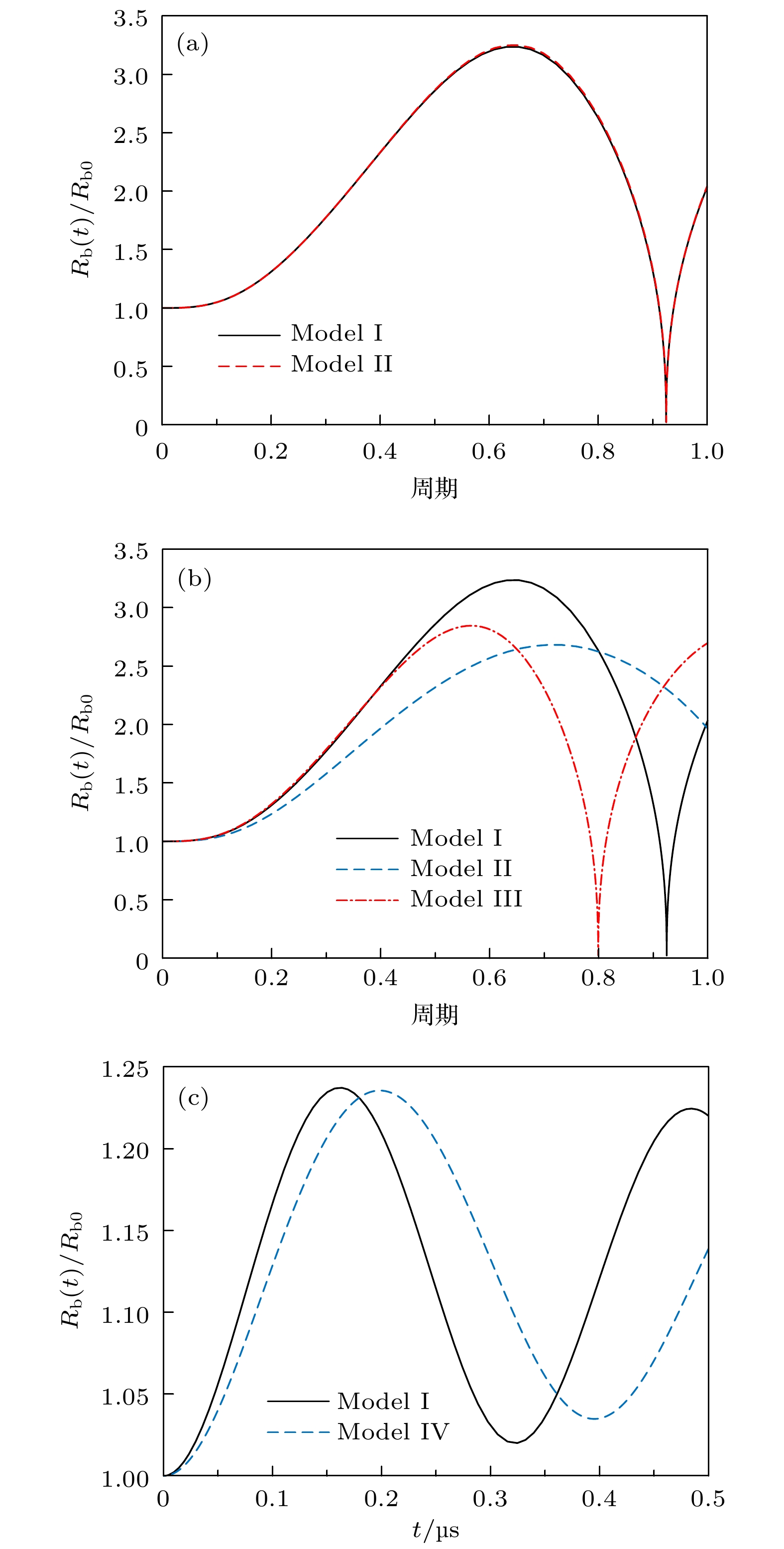
Ultrasonic wave with higher intensity will directly cavitate in soft tissue. It is an important issue in ultrasonic therapy that the cavitation bubbles in soft tissues are driven in the ultrasonic field. It is assumed that the medium inside the bubble is gas, the cavity is filled with the incompressible viscous liquid, and the medium surrounding the cavity is viscoelastic solid. To introduce the effect of the surrounding tissue, it is assumed that the tissue is incompressible, linear and Voigt viscoelastic solid. The motion of a cavitation bubble can be affected by many factors, such as acoustic pressure, acoustic frequency, tissue elasticity and cavity size. Numerical simulation shows that the resonance frequency and amplitude of the bubbles decrease with cavity radius decreasing. It is also shown that the amplitude of the radial motion for bubbles decreases with the increase of the tissue shear modulus and the frequency, when the ratio of bubble radius to the cavity radius is constant. The effect of the elasticity is very obvious, which reduces the amplitude greatly. The effect of elasticity will be less when the driving pressure is strong. It is found that the inertial cavitation threshold of bubble is relatively low in a range of 1–5 μm. The inertial cavitation threshold of bubble increases with the increase of shear modulus and driving frequency. The smaller the cavity radius, the higher the inertial cavitation threshold of the bubble is. This report aims to provide a firm theoretical basis for the future study of bubbles in a liquid-filled cavity surrounded by a viscoelasticity tissue.