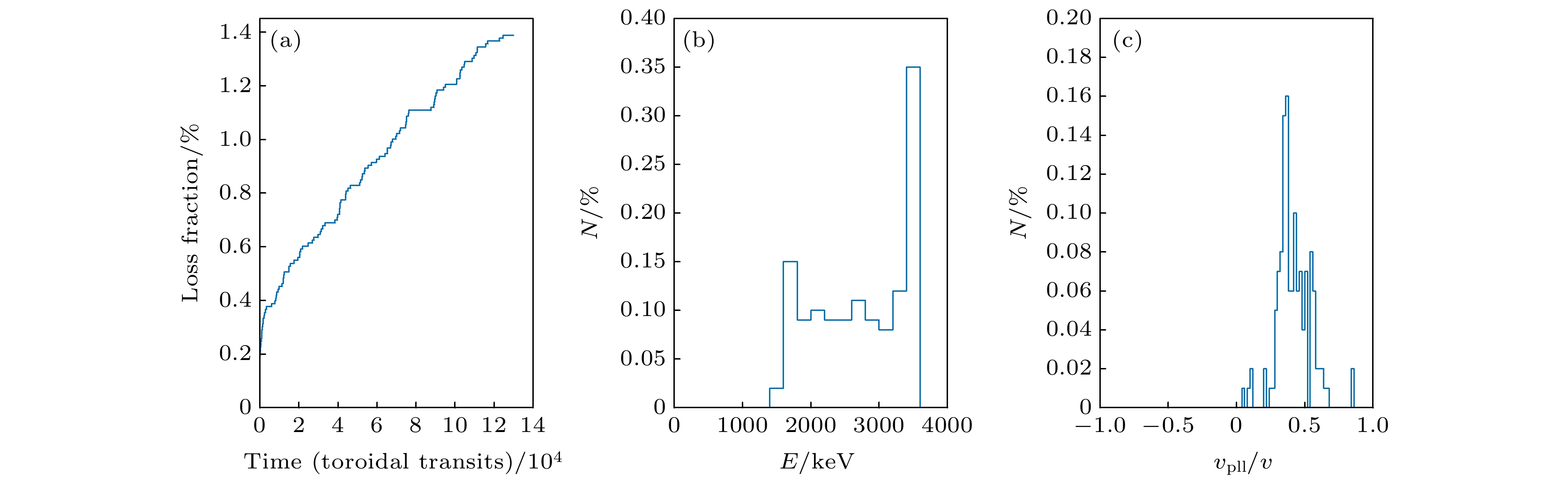
Confinement of fusion born alpha particles in tokamak is the key issue to burning plasma. Apart from toroidal field ripple, instabilities can induce energetic particles to lose and be redistributed. Based on the parameters of China Fusion Engineering Testing Reactor (CFETT) hybrid scenario, alpha particle distribution and neoclassical tearing mode structure, the alpha particle loss induced under perturbation of ripple and neoclassical tearing mode (NTM) is calculated with the guiding center code ORBIT. The inputs have the initial distribution of alpha particles which is obtained with the TRANSP/NUBEAM code, the static NTM perturbation with different amplitudes which is obtained from TM1 code, and the ripple field from engineering design. The results show that the heat load on last closed flux surface is about 0.1 MW/m
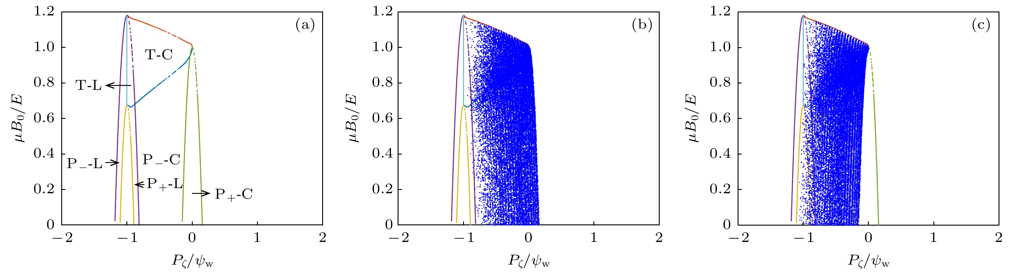
2, with ripple and collision included. The collisionless stochastic ripple diffusion is the main loss channel of initial alpha particle distribution in the CFETR, and the ripple perturbation has no influence on passing particles. The loss fraction does not increase with the NTM perturbation amplitude increasing, the synergistic effect is negligible. The scanning of ripple amplitude shows that the synergistic effect is slight. The monoenergetic initial distribution of alpha particles can give different types of orbits in the plane of (
$ {P_\zeta },\mu $
), such as the domains of trapped particle and passing particle, lost particle and confined particle. The trapped fraction of initial alpha particles is about 27%, ripple loss region in phase space is narrow and away from the main trapped particle distribution. The increasing of ripple perturbation in simulation does enlarge the ripple loss domain in the phase space (
$ {P_\zeta },\mu $
), which is corresponding to a lager ripple loss fraction and has more trapped-passing boundaries. The NTM perturbation does enlarge the orbit excursions of trapped particles, and thus increasing the trapped passing transition near the boundary. The slight synergistic effect in calculation with larger ripple amplitude is explained by ripple loss region having more trapped-passing boundaries, not by the profile flattening of trapped particles. The NTM perturbation and finite collision can transit the passing particle to trapped particle near the boundary. With the help of kinetic Poincare plot, neither direct particle loss nor profile flattening of trapped particles is observed. The loss fraction enhancement can happen only when the profile flattening of trapped particles takes place within the ripple loss region, which is not the case in CFETR. The conclusion of this work contributes a lot to the design of CFETR and the study of alpha particle physics.