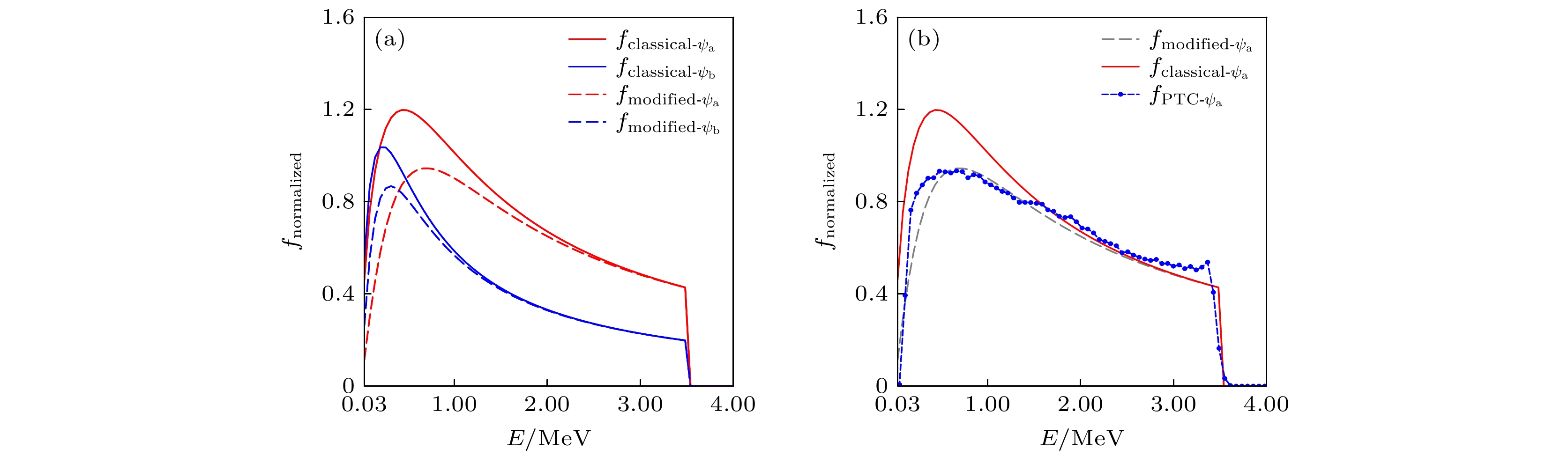
\begin{document}$ 3.5 {\text{ MeV}} $\end{document}. According to theoretical calculations, it takes approximately 1 second to slow down α particles through Coulomb collisions to an energy range similar to the energy range of the background plasma. In the slowing-down process, some α particles may be lost owing to various transport processes. One significant research problem is how to utilize α particles to effectively heat fuel ions so as to sustain fusion reactions in a reactor. Assuming local Coulomb collisions and neglecting orbital effects, a classical slowing-down distribution for α particles can be derived. However, considering the substantial drift orbit width of α particles and the importance of spatial transport, numerical calculations are required to obtain more accurate α particle distribution function. In this study, the particle tracer code (PTC) is used to numerically simulate the slowing-down process of α particles under different scenarios in the Chinese Fusion Engineering Test Reactor (CFETR). By combining particle orbit tracing method with Monte Carlo collision method, a more realistic α particle distribution function can be obtained and compared with the classical slowing-down distribution. The results show significant differences between this distribution function and the classical slowing-down distribution, particularly in the moderate energy range. Further analysis indicates that these disparities are primarily caused by the strong radial transport of α particles at these energy levels. The research findings hold profound implications for the precise evaluating of ability of α particles to heat the background plasma. Understanding and characterizing the behavior of α particles in the slowing-down process and their interaction with the plasma is critical for designing and optimizing future fusion reactors. By attaining a deeper comprehension of the spatial transport and distribution of α particles, it becomes possible to enhance the efficiency of fuel ion heating and sustain fusion reactions more effectively. This study establishes a foundation for subsequent investigations and evaluation of α particles as a highly efficient heating source for fusion plasmas."> Numerical simulation of <inline-formula><tex-math id="Z-20231101091527">\begin{document}$\boldsymbol \alpha$\end{document}</tex-math><alternatives><graphic xmlns:xlink="http://www.w3.org/1999/xlink" xlink:href="21-20230700_Z-20231101091527.jpg"/><graphic xmlns:xlink="http://www.w3.org/1999/xlink" xlink:href="21-20230700_Z-20231101091527.png"/></alternatives></inline-formula> particle slowing-down process under CFETR scenario - 必威体育下载

Search

Article

x

留言板

姓名
邮箱
手机号码
标题
留言内容
验证码

downloadPDF
Citation:

Numerical simulation of $\boldsymbol \alpha$ particle slowing-down process under CFETR scenario

Wu Xiang-Feng, Wang Feng, Lin Zhan-Hong, Chen Luo-Yu, Yu Zhao-Ke, Wu Kai-Bang, Wang Zheng-Xiong
PDF
HTML
Get Citation
Metrics
  • Abstract views:2021
  • PDF Downloads:93
  • Cited By:0
Publishing process
  • Received Date:29 April 2023
  • Accepted Date:08 June 2023
  • Available Online:26 June 2023
  • Published Online:05 November 2023

    返回文章
    返回
      Baidu
      map