We use the mean field approximation method to study the quantum phase transitions of the Jaynes-Cummings lattice model and the Rabi lattice model. The effective Hamiltonians are obtained for the JC and Rabi model including the Kerr nonlinear term. Numerically we diagonalized the Hamiltonian matrix and calculated the superfluidity order parameter and the two-photon correlation function by solving the iteration equations.
We have explored the Mott insulating-superfluid quantum phase transition, the bunching-antibunching behavior of light, and the effect of Kerr nonlinear term on the quantum phase transition and photon statistical characteristics. Our results show that in the JC lattice model, by increasing
J, a quantum phase transition takes place and the system is driven to a superfluid phase. The phase boundaries of the Mott lobes are
N-dependent. However the photon will always be in a bunching statistical behavior irrelevant of the coupling strength between the two-level atom and the phonton and the nonlinear Kerr effect.
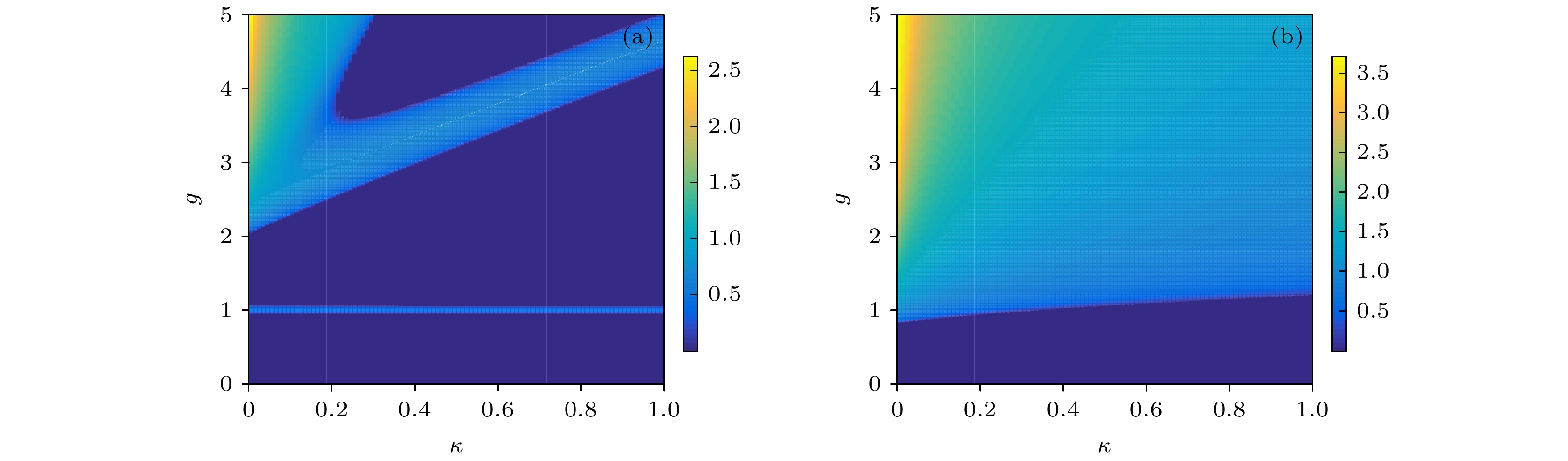
In the Rabi lattice model, the anti-rotating wave term breaks Mott-lobe structure of the phase diagram and the increase of the two-level atom and photon interaction strength
gand the photon transition strength
Jbetween the lattices drive the system from the Mott insulating phase to the superfluid phase. The photon statistical behavior changes from the bunching to the antibunching one when considering the anti-rotating wave term, which is important in the strongly coupled systems. Most interestingly, the increase of the Kerr nonlinear coefficient will inhibit the Mott insulating phase-superfluid phase transition, but favor the superfluid phase and the transition from the bunching to anti-bunching statistics.