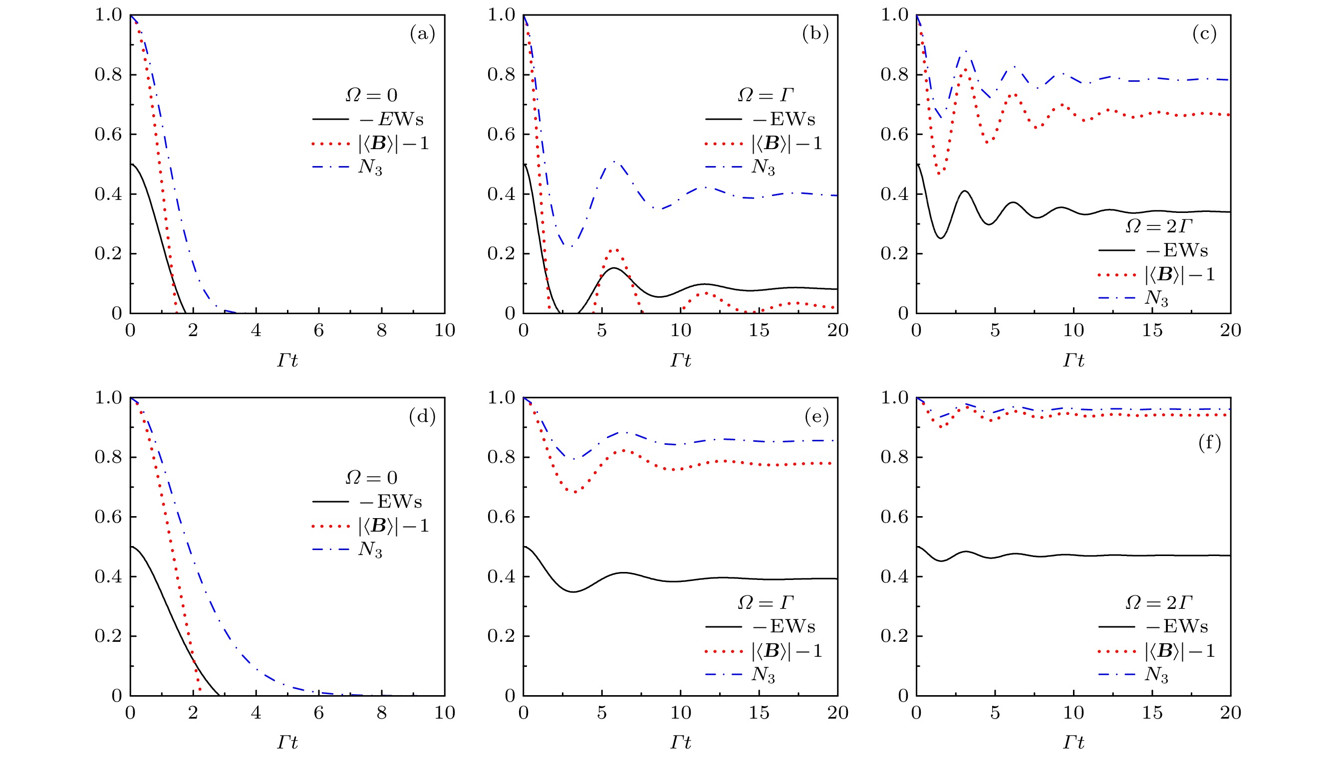
Much attention has been paid to the dynamics of quantum correlation in an open quantum system coupled to a single-layered environment for a long time. However, the system can be influenced by the multilayer environment or hierarchical environment in realistic scenarios, which is attracting increasing interest at present. In this context, we explore in this paper the dynamics of quantum correlation for a quantum system consisting of three independent qubits, each being immersed in a single mode lossy cavity which is further connected to another cavity. The influences of cavity-cavity coupling strength
Ωand the decay rate of cavity
Γ
1on the measures of quantum correlation, including negativity, Bell non-locality as well as entanglement witness, are investigated in detail in a strong coupling regime and a weak coupling regime. It is shown that the phenomena of sudden death and sudden birth can happen to both Bell non-locality and entanglement witness. When the decay rate
Γ
1= 0 is given, with the increase of
Ωthese measures eventually reach their stationary values over time after a short period of damping oscillations, in which these stationary values will become larger for the larger
Ω. At the same time, the values or the survival times of quantum correlation considered by us in the weak coupling regime are better than in the strong coupling case. In addition, the non-zero
Γ
1has a great negative effect on quantum correlation. Hence, in order to suppress the loss of quantum correlation better, the effective manipulation of quantum weak measurement and measurement reversal operator is considered further. Some interesting results are obtained.