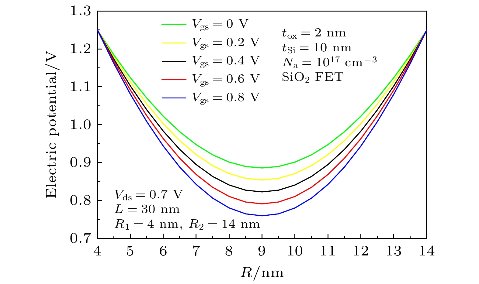
| [1] |
Zhang Lin, Ma Lin-Dong, Du Lin, Li Yan-Bo, Xu Xian-Feng, Huang Xin-Rong.Transient characteristics simulation of total ionizing dose effect on Si n-metal-oxide-semiconductor field effect transistor under different gate voltage. Acta Physica Sinica, 2023, 72(13): 138501.doi:10.7498/aps.72.20230207 |
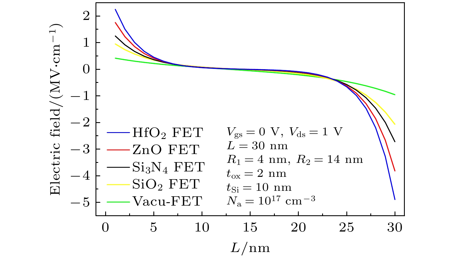
| [2] |
Zheng Ya-Xin, Naranmandula.Acoustic cavitation characteristics of bubble in compressible liquid. Acta Physica Sinica, 2022, 71(1): 014301.doi:10.7498/aps.71.20211266 |
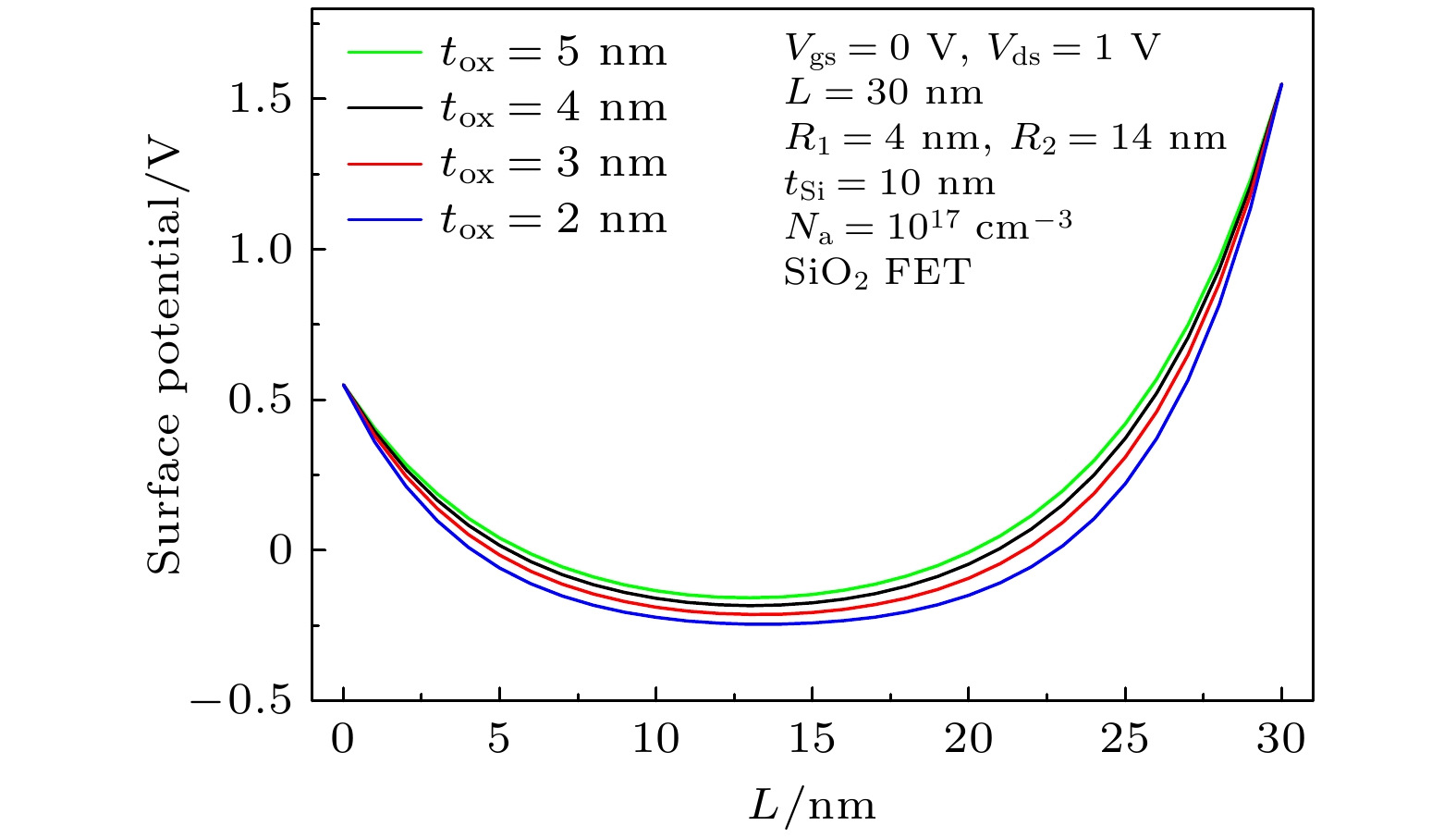
| [3] |
Ma Ping, Han Yi-Ping, Zhang Ning, Tian De-Yang, Shi An-Hua, Song Qiang.Experimental investigation on all-target electromagnetic scattering characteristics of hypervelocity HTV2-like flight model. Acta Physica Sinica, 2022, 71(8): 084101.doi:10.7498/aps.71.20211901 |
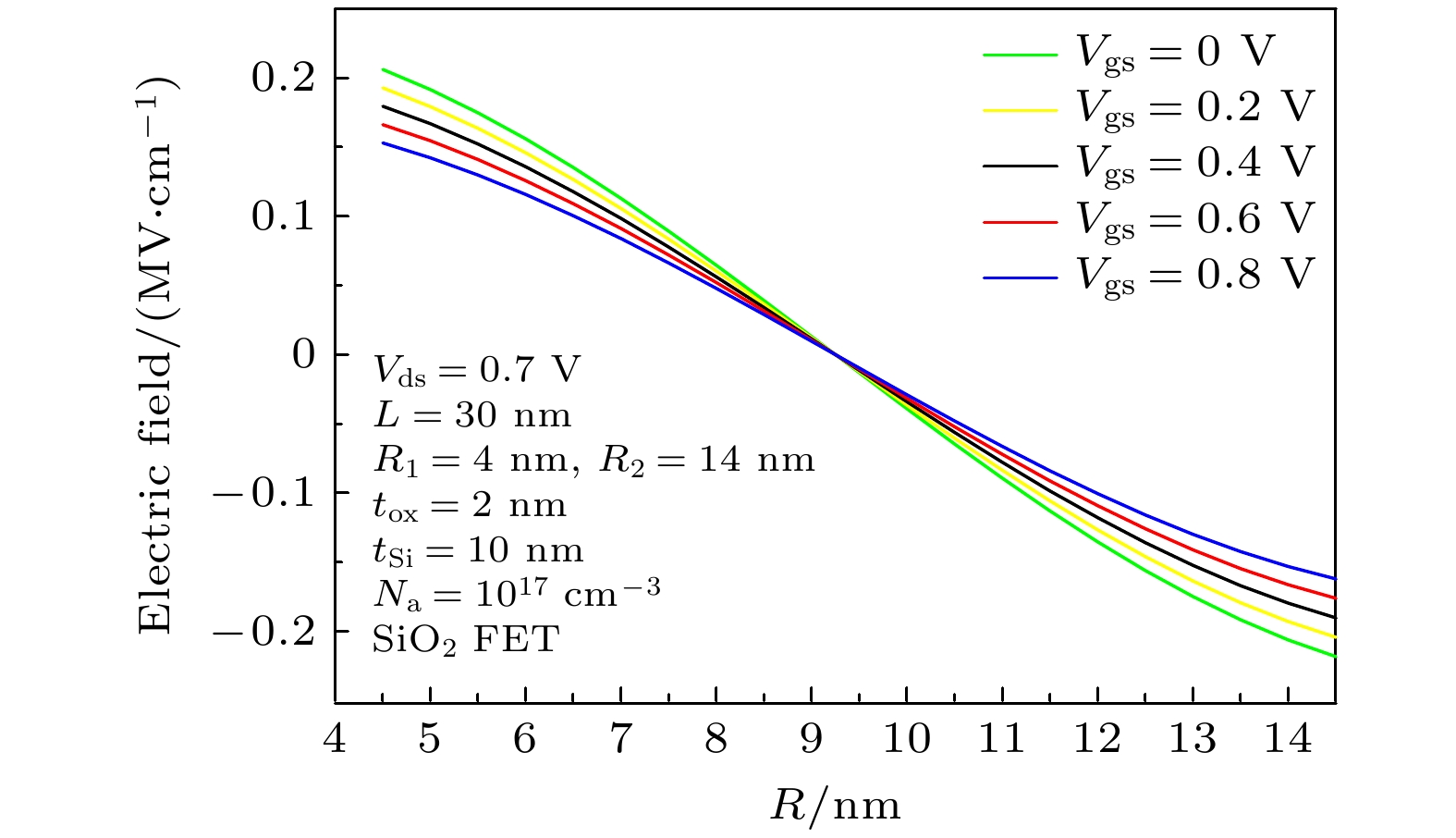
| [4] |
.Acoustic cavitation characteristics of bubble in compressible liquid. Acta Physica Sinica, 2021, (): .doi:10.7498/aps.70.20211266 |
| [5] |
Wei Lin, Liu Gui-Li, Wang Jia-Xin, Mu Guang-Yao, Zhang Guo-Ying.Density functional theory study on influence of tensile deformation and electric field on electrical properties of Si atom adsorbed on black phosphorene. Acta Physica Sinica, 2021, 70(21): 216301.doi:10.7498/aps.70.20210812 |
| [6] |
Liu Nai-Zhang, Yao Ruo-He, Geng Kui-Wei.Gate capacitance model of AlGaN/GaN high electron mobility transistor. Acta Physica Sinica, 2021, 70(21): 217301.doi:10.7498/aps.70.20210700 |
| [7] |
Yao Jia-Feng, Wan Jian-Fen, Yang Lu, Liu Kai, Chen Bai, Wu Hong-Tao.Electrical characteristics of cells with electrical impedance spectroscopy. Acta Physica Sinica, 2020, 69(16): 163301.doi:10.7498/aps.69.20200601 |
| [8] |
Song Hang, Liu Jie, Chen Chao, Ba Long.Graphene-based field effect transistor with ion-gel film gate. Acta Physica Sinica, 2019, 68(9): 097301.doi:10.7498/aps.68.20190058 |
| [9] |
Song Jian-Jun, Bao Wen-Tao, Zhang Jing, Tang Zhao-Huan, Tan Kai-Zhou, Cui Wei, Hu Hui-Yong, Zhang He-Ming.Double ellipsoid model for conductivity effective mass along [110] orientation in (100) Si-based strained p-channel metal-oxide-semiconductor. Acta Physica Sinica, 2016, 65(1): 018501.doi:10.7498/aps.65.018501 |
| [10] |
Wei Xiao-Lin, Chen Yuan-Ping, Wang Ru-Zhi, Zhong Jian-Xin.Studies on electrical properties of graphene nanoribbons with pore defects. Acta Physica Sinica, 2013, 62(5): 057101.doi:10.7498/aps.62.057101 |
| [11] |
Zhao Shou-Ren, Huang Zhi-Peng, Sun Lei, Sun Peng-Chao, Zhang Chuan-Jun, Wu Yun-Hua, Cao Hong, Wang Shan-Li, Chu Jun-Hao.Analysis of electrical property parameters of CdS/CdTe solar cells fabricated by close space-sublimation. Acta Physica Sinica, 2013, 62(18): 188801.doi:10.7498/aps.62.188801 |
| [12] |
Ma Ji-Gang, Ma Xiao-Hua, Zhang Hui-Long, Cao Meng-Yi, Zhang Kai, Li Wen-Wen, Guo Xing, Liao Xue-Yang, Chen Wei-Wei, Hao Yue.A semiempirical model for kink effect on the AlGaN/GaN high electron mobility transistor. Acta Physica Sinica, 2012, 61(4): 047301.doi:10.7498/aps.61.047301 |
| [13] |
Luo Zhen-Fei, Wu Zhi-Ming, Xu Xiang-Dong, Wang Tao, Jiang Ya-Dong.Aging in the electrical properties of nanostructured vanadium oxide thin film exposed to air. Acta Physica Sinica, 2011, 60(6): 067302.doi:10.7498/aps.60.067302 |
| [14] |
Zhang Lin, Yang Fei, Xiao Jian, Gu Wen-Ping, Qiu Yan-Zhang.Power characteristics of SiC bipolar-mode JFET. Acta Physica Sinica, 2011, 60(10): 107304.doi:10.7498/aps.60.107304 |
| [15] |
Li Bin, Liu Hong-Xia, Yuan Bo, Li Jin, Lu Feng-Ming.Model of electron mobility in inversion layer of strained Si/Si1-xGex n type metal-oxide-semiconductor field-effect transistors. Acta Physica Sinica, 2011, 60(1): 017202.doi:10.7498/aps.60.017202 |
| [16] |
Ma Li, Wang Dong-Fang, Gao Yong, Zhang Ru-Liang.Effects of p and n pillar widths on electrical characteristicsof super junction SiGe power diodes. Acta Physica Sinica, 2011, 60(4): 047303.doi:10.7498/aps.60.047303 |
| [17] |
Wu Hua-Ying, Zhang He-Ming, Song Jian-Jun, Hu Hui-Yong.An model of tunneling gate current for uniaxially strained Si nMOSFET. Acta Physica Sinica, 2011, 60(9): 097302.doi:10.7498/aps.60.097302 |
| [18] |
Shen Zi-Cai, Wang Ying-Jian, Fan Zheng-Xiu, Shao Jian-Da.Modeling analysis of inhomogeneous coatings prepared by double-source co-evaporation. Acta Physica Sinica, 2005, 54(1): 295-301.doi:10.7498/aps.54.295 |
| [19] |
Lü Hong-Liang, Zhang Yi-Men, Zhang Yu-Ming.The simulation study of the tunneling effect in the breakdown of 4H-SiC pn junc tion diode. Acta Physica Sinica, 2003, 52(10): 2541-2546.doi:10.7498/aps.52.2541 |
| [20] |
Ma Zhong-Fa, Zhuang Yi-Qi, Du Lei, Bao Jun-Lin, Li Wei-Hua.A physical-based percolation model for gate oxide TDDB. Acta Physica Sinica, 2003, 52(8): 2046-2051.doi:10.7498/aps.52.2046 |