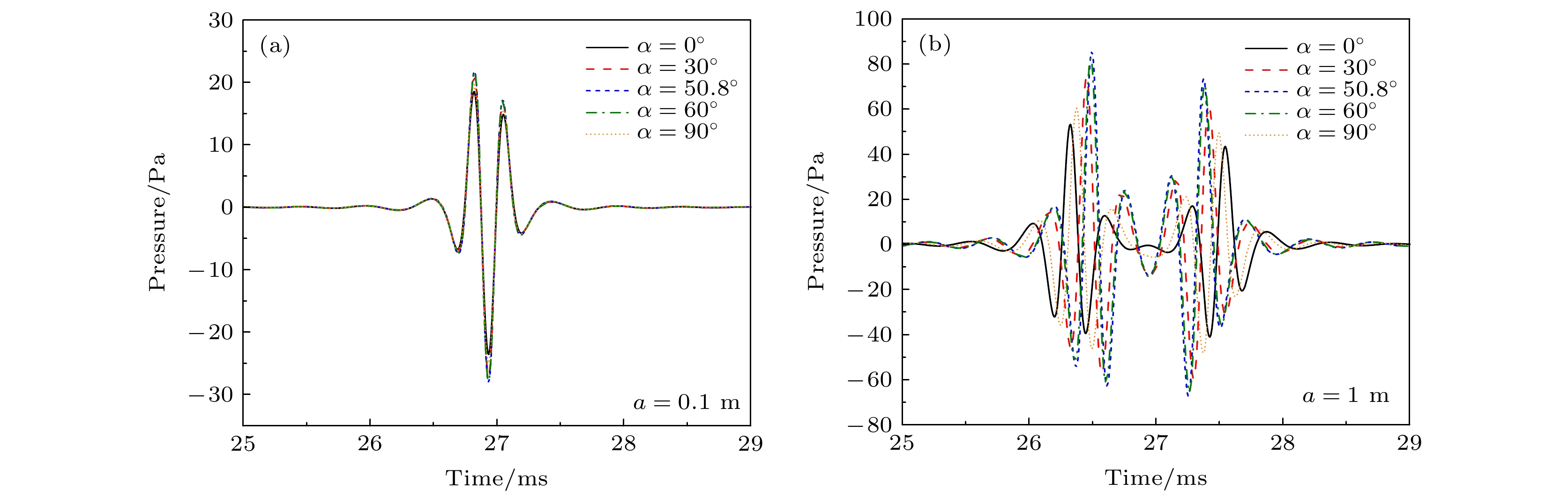
The sound radiation field of a circular piston source in an infinite plane rigid baffle can be approximated as an axisymmetric directional spherical-wave. The interface response expressions of the axisymmetric directional spherical-wave for the piston parallel with the interface has already been obtained in previous studies. On condition that the distance from the piston center to the interface is much greater than the piston radius, we first derive the conical wave expansion of the axisymmetric directional spherical-wave which is obtained by using the conical wave expansion of the homogeneous spherical-wave and the formula of the axisymmetric directional spherical-wave excited by a circular piston in an rigid infinite plane, and then derive the expression of the interface reflection wave of the axisymmetric directional spherical-wave for the piston non-parallel to the interface. The expression of the interface reflection wave is simplified into a simplified expression by saddle point method on condition that the source distance is much larger than the acoustic wavelength. The simplified expression is not only simple in the calculation, but also clear in the physical meaning. The simplified expression shows that the interface reflection wave of the axisymmetric directional spherical-wave can be regarded as the product of the axisymmetric directional spherical-wave excited by the piston mirror image and the reflection coefficient. The calculations show that when the piston radius is smaller than the acoustic wavelength, the reflected wave is less sensitive to the angle included between the piston and the interface and the azimuth of the receiving point, and the directivity of the reflected wave is weak. When the piston radius is greater than the acoustic wavelength, the reflected wave is very sensitive to the angle included between the piston and the interface and the azimuth of the receiving point, and the directivity of the reflected wave is strong. Increasing the angle included between the piston and the interface, the reflected wave and its directivity both first increase and then decrease. The reflected wave is largest and the directivity of the reflected wave is strongest when the angle included between the piston and the interface is equal to that between the interface normal and the connecting line between the mirror image of the piston center and the receiving point.