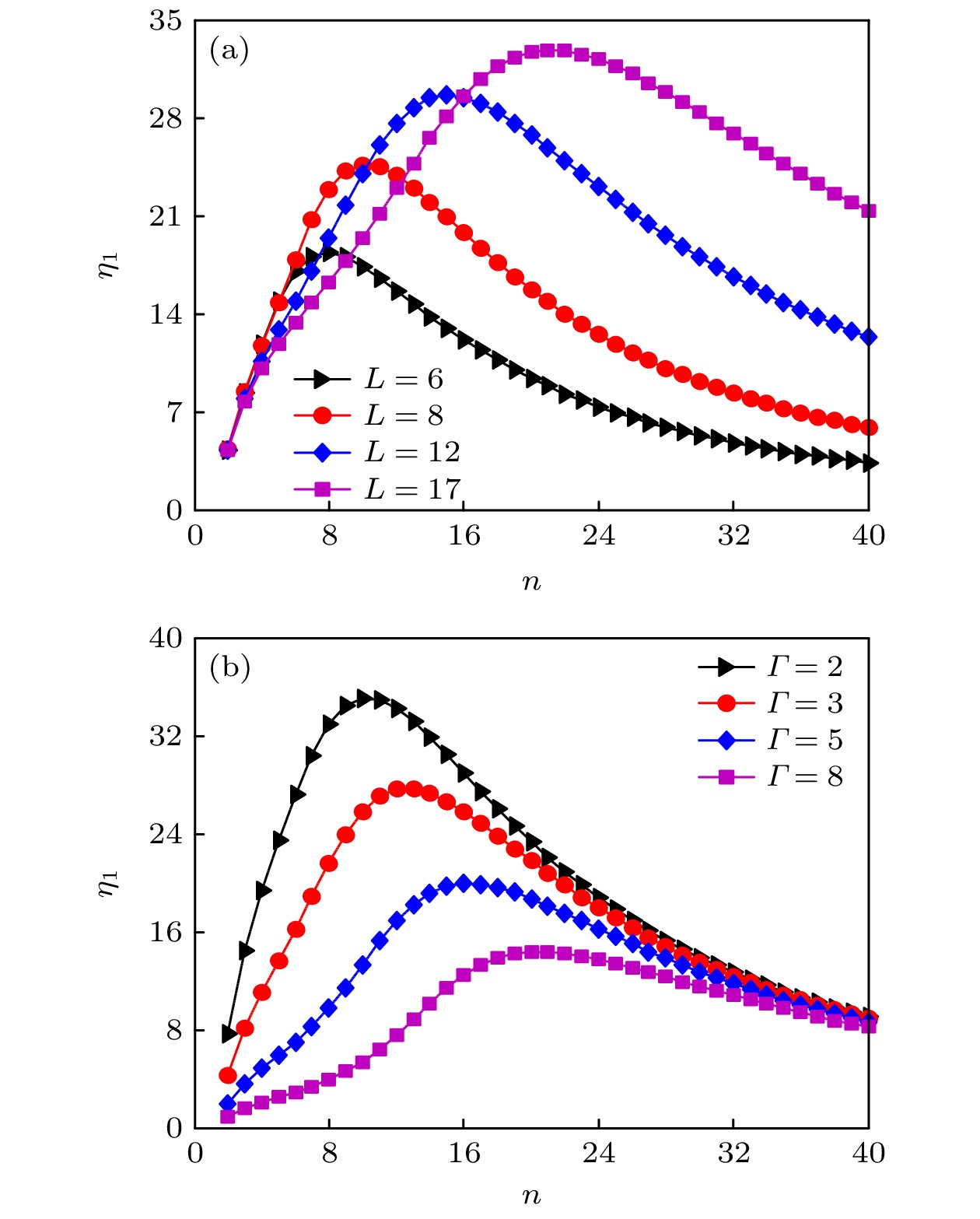
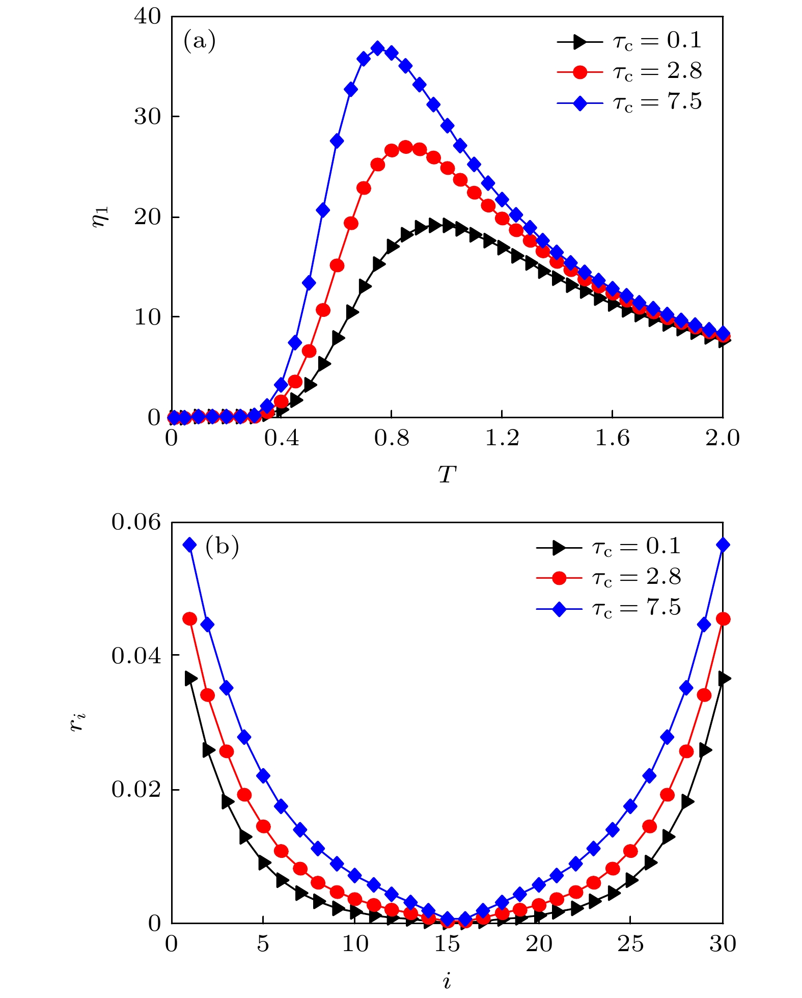
The stochastic dynamical system with memory effects describes a non-Markovian process that can happen in some complex systems or disordered media, such as viscoelastic media and living cell. Its velocity yields the memory effects because of the nonlocality in time, giving rise to a generalized Langevin equation for describing the dynamics of the system. In particular, the friction term in generalized Langevin equation is given by the time-dependent memory kernel. Besides, the research of stochastic resonance in periodic potential models emerges as an important subject because such systems have potential applications in diverse areas of natural sciences. However, the analysis of the influence of memory on stochastic resonance has not been reported so far in periodic potential model. In this paper, the phenomenon of stochastic resonance is investigated in the periodic potential system with friction memory kernel driven by an external periodic signal and internal noise. The generalized Langevin equation is converted into the three-dimensional Markovian Langevin equations. Analytical expression for the spectral amplification, together with the amplitude of the response, is derived in the periodic potential with an arbitrary number of simultaneously stable steady states, which can be applied to the general multi-stable dynamical model. The obtained results indicate that the curve of spectral amplification versus temperature exhibits a pronounced peak. Obviously, this typical phenomenon is a signature of stochastic resonance. The stochastic resonance effect is enhanced with the increase of the memory time or the number of stable steady states. For a certain range of the particle motion, the existence of an optimal number of stable steady states for which the output of the system can be maximized is established. Moreover, the phenomenon of stochastic resonance is studied according to the stochastic energetics. The average input energy per period is calculated over all the trajectories for quantifying stochastic resonance. It is found that the stochastic resonance effect is first weakened and then enhanced with increasing memory time. Specifically, under appropriate temperature conditions, there is an optimal memory time, which can maximize the work done by the external periodic force on the system.