Using the exact Muffin-Tin orbital method combined with the coherent potential approximation, the effects of magnetic disordering and alloying effects on the phase stability of L2
1- and D0
22-Co
2Cr
Z(
Z= Ga, Si, Ge) alloys are systematically investigated at 0 K in the present work. It is shown that at 0 K, the lattice parameter, bulk modulus, magnetic moments, and elastic constants of the studied L2
1alloys are in line with the available theoretical and experimental data. In the ferromagnetic state, these alloys possess L2
1structure; with the magnetic disordering degree (
y) increasing, the energy of the phase increases relatively and finally turns from lower than D0
22phase to higher than D0
22phase. As a result, when
y≥ 0.1 (0.2), then
Z= Si and Ge (
Z= Ga) alloys are stabilized by the D0
22phase. With
yincreasing, the tetragonal shear elastic modulus (
C
'= (
C
11–
C
12)/2) also turns soft, indicating that the magnetic disorderingis conducive to the lattice tetragonal deformation in the three alloys from both the energetic view and the mechanical view. The electronic origination of the magnetic disordering effect on the stabilities of the L2
1and D0
22phases can be ascribed to the Jahn-Teller instability effect. In the FM L2
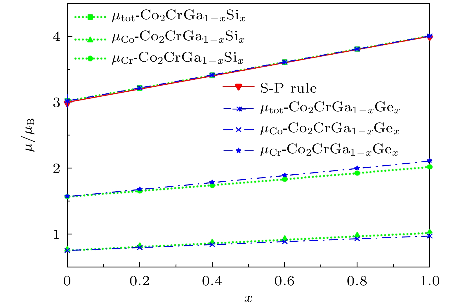
1-Co
2CrGa
1–xSi
xand L2
1-Co
2CrGa
1–xGe
xquaternary alloys, with
xincreasing, the total magnetic moment increases monotonically according to the Slater-Pauling rule, and
C
'also stiffens, reflecting that the adding of Si and Ge can promote the mechanical stability of L2
1-Co
2CrGa alloy, thereby depressing the lattice tetragonal deformation.