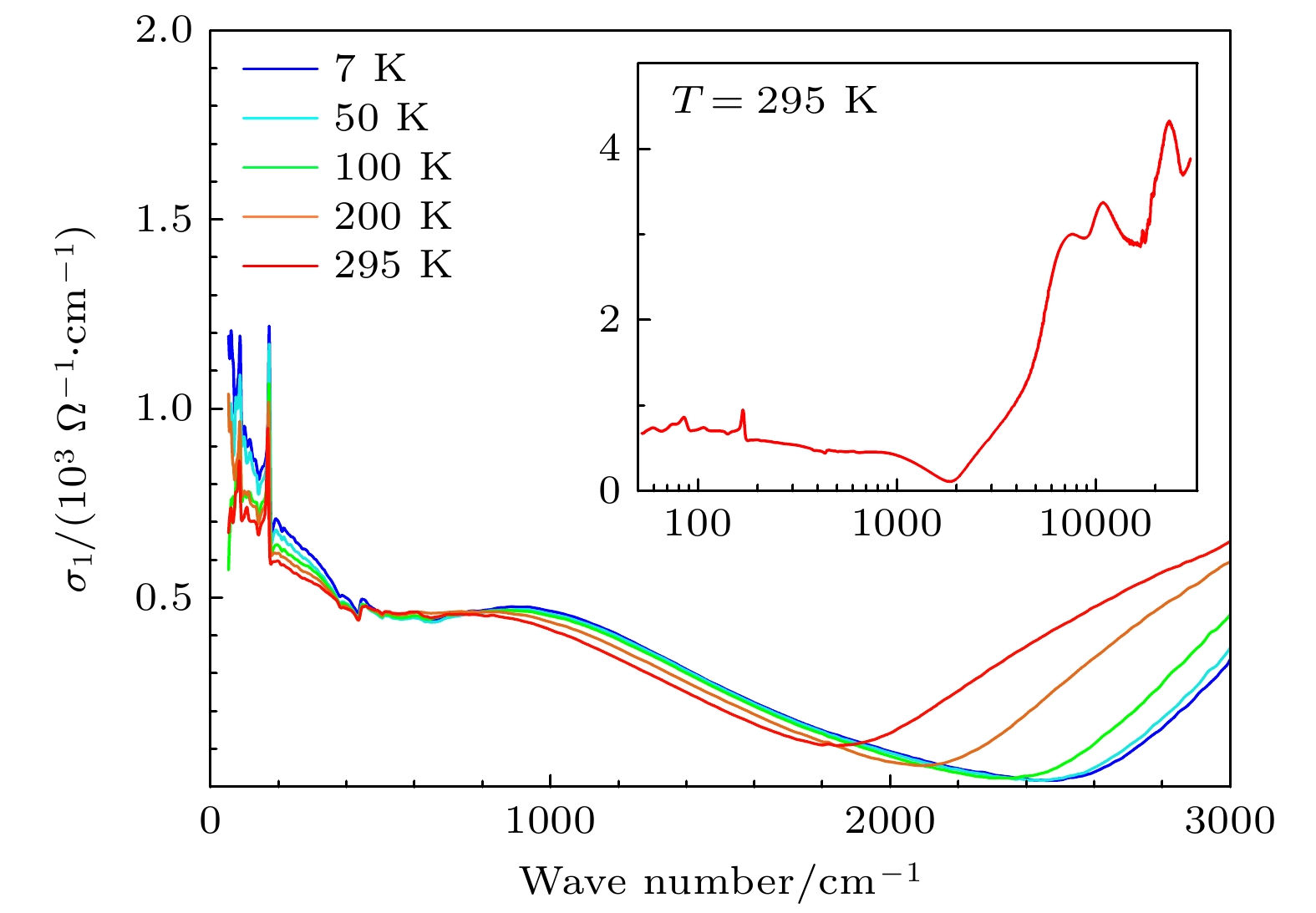
\begin{document}$\sigma_{1}(\omega)$\end{document}, two linearly-increased components can be identified, but neither of their extrapolation pass through the origin, which proves that BaMnSb2 has a gapped Dirac dispersion near the Fermi level. Comparing with the theoretical calculation by using first-principles methods, the onset of these two linearly-increased components are in good agreement with the band structures. In addition, a range of constant optical conductivity is found in \begin{document}$\sigma_{1}(\omega)$\end{document}, which cannot be described well by the Drude-Lorentz model. Therefore, we introduce a frequency-independent component to fit \begin{document}$\sigma_{1}(\omega)$\end{document} successfully. However, different from the Dirac nodal-line semimetal YbMnSb2 which shares same fitting results as well as crystal structure, the constant component in BaMnSb2 has a small proportion of \begin{document}$\sigma_{1}(\omega)$\end{document}. Through calculation and analysis, we attribute the constant component to the surface state of BaMnSb2."> - 必威体育下载

Search

Article

x

留言板

姓名
邮箱
手机号码
标题
留言内容
验证码

downloadPDF
Citation:

Qiu Zi-Yang, Chen Yan, Qiu Xiang-Gang
PDF
HTML
Get Citation
Metrics
  • Abstract views:3347
  • PDF Downloads:100
  • Cited By:0
Publishing process
  • Received Date:03 January 2022
  • Accepted Date:28 January 2022
  • Available Online:02 February 2022
  • Published Online:20 May 2022

    返回文章
    返回
      Baidu
      map