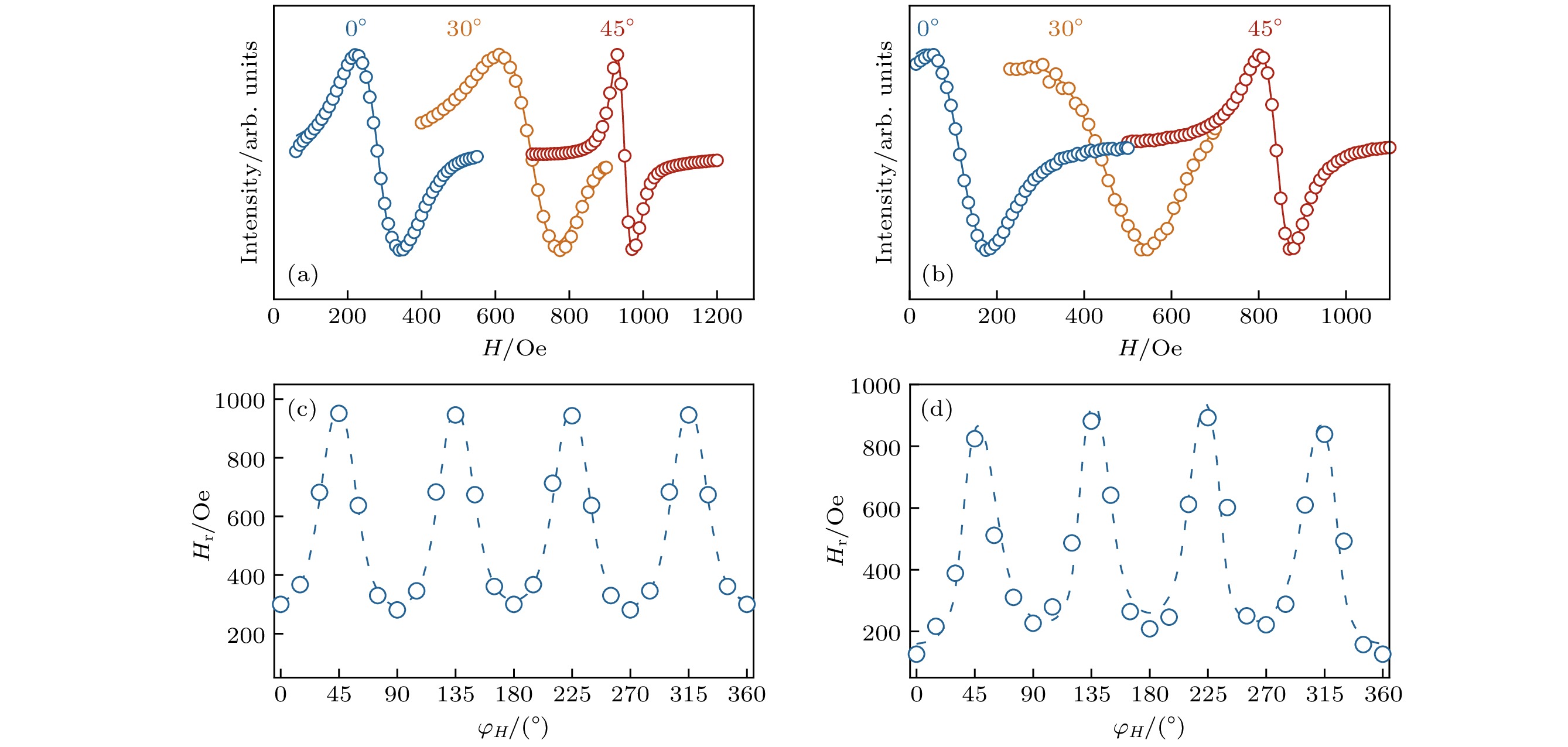
\begin{document}$ {K}_{1} $\end{document}, unidirectional magnetic exchange bias anisotropy \begin{document}$ {K}_{\mathrm{e}\mathrm{b}} $\end{document}, and uniaxial magnetic anisotropy \begin{document}$ {K}_{\mathrm{u}} $\end{document} with configuration of \begin{document}$ {K}_{\mathrm{e}\mathrm{b}}//\left[100\right] $\end{document} or \begin{document}$ {K}_{\mathrm{e}\mathrm{b}}//\left[110\right] $\end{document}. The combined longitudinal and transverse magneto-optical Kerr effect measurements show that sample with \begin{document}$ {K}_{\mathrm{e}\mathrm{b}}//\left[100\right] $\end{document} exhibits square loops, asymmetrically shaped loops, and one-sided two-step loops in different external magnetic field directions. In contrast, the sample with \begin{document}$ {K}_{\mathrm{e}\mathrm{b}}//\left[110\right] $\end{document} exhibits one-sided two-step and two-sided two-step loops as the magnetic field orientation changes. Because the \begin{document}$ {K}_{1} $\end{document} is superimposed by \begin{document}$ {K}_{\mathrm{u}} $\end{document} and \begin{document}$ {K}_{\mathrm{e}\mathrm{b}} $\end{document}, the in-plane fourfold symmetry of the magnetic anisotropy energy is broken. The local minima are no longer strictly along the in-plane \begin{document}$ \left\langle{100}\right\rangle $\end{document} directions, but make a deviation angle which depends on the relative orientation and strength of magnetic anisotropy. A model based on the domain wall nucleation and propagation is proposed with considering the different orientations of \begin{document}$ {K}_{\mathrm{e}\mathrm{b}} $\end{document}, which can nicely explain the change of the magnetic switching route with the magnetic field orientation and fit the angular dependence of the magnetic switching fields, indicating a significant change of domain wall nucleation energy as the orientation of \begin{document}$ {K}_{\mathrm{e}\mathrm{b}} $\end{document} changes."> - 必威体育下载

Search

Article

x

留言板

姓名
邮箱
手机号码
标题
留言内容
验证码

downloadPDF
Citation:

    Meng Jing, Feng Xin-Wei, Shao Qing-Rong, Zhao Jia-Peng, Xie Ya-Li, He Wei, Zhan Qing-Feng
    PDF
    HTML
    Get Citation
    Metrics
    • Abstract views:3846
    • PDF Downloads:103
    • Cited By:0
    Publishing process
    • Received Date:23 January 2022
    • Accepted Date:26 February 2022
    • Available Online:09 March 2022
    • Published Online:20 June 2022

      返回文章
      返回
        Baidu
        map