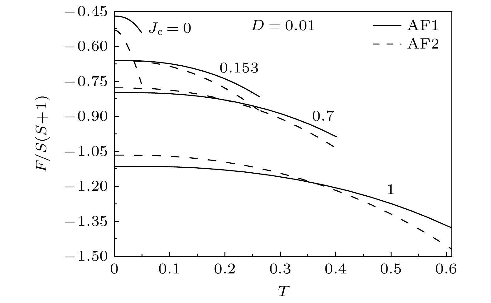
\begin{document}$ {J_c} $\end{document} and single-ion anisotropy D on phase transformation between the Nèel state (AF1) and collinear state (AF2) are explored. Our results show that if only the parameters \begin{document}$ {J_c} $\end{document} and D are not equal to zero at the same time, the two states can exist and have the same critical temperature at \begin{document}$ {J_2} = {J_1}/2 $\end{document}, which represents the nearest neighbor exchange. Under such parameters, a first-order phase transformation between these two states below the critical point can occur. For \begin{document}$ {J_2} \ne {J_1}/2 $\end{document}, although both states may exist, their Neel temperatures differ from each other. If the Nèel point of the AF1 (AF2) state is larger, then at very low temperature, the AF1 (AF2) state is more stable. Thus, in an intermediate temperature, a first-order phase transition between these two states may also occur."> - 必威体育下载

Search

Article

x

留言板

姓名
邮箱
手机号码
标题
留言内容
验证码

downloadPDF
Citation:

    Qing Yu-Lin, Peng Xiao-Li, Hu Ai-Yuan
    PDF
    HTML
    Get Citation
    Metrics
    • Abstract views:3243
    • PDF Downloads:44
    • Cited By:0
    Publishing process
    • Received Date:09 September 2021
    • Accepted Date:28 September 2021
    • Available Online:29 October 2021
    • Published Online:20 February 2022

      返回文章
      返回
        Baidu
        map