Recently, it has been discovered that the
AB(N,O)
3-type perovskite oxynitrides exhibit excellent dielectric, ferroelectric, and photocatalytic properties, promising for applications in the fields of optoelectronics, energy storage, and communication. Due to the differences in charge, ionic radius, and covalent bonding between N
3–ion and O
2–ion, the N substitution for O enhances the
B(N,O)
6octahedron tilting, giving rise to exotic properties and functionalities. However, the current fabrication process for this type of material is rather time-consuming, leading to products with an appreciable quantity of impurities. In this study, using oxide precursors and sodium amide as the nitrogen source, high-purity perovskite-type oxynitride CeTaN
2O bulk materials are successfully synthesized under high-temperature and high-pressure conditions provided by a cubic-anvil press. The synthesis time decreases to 1 h, achieving rapid production. The lattice structure and physical properties of the obtained samples are comprehensively investigated. X-ray powder diffraction experiments and subsequent Rietveld refinement indicate that the title material shows an orthorhombic crystal structure with the space group of
Pnma. The X-ray absorption spectra confirm the charge configuration and the anion composition as Ce
3+Ta
5+N
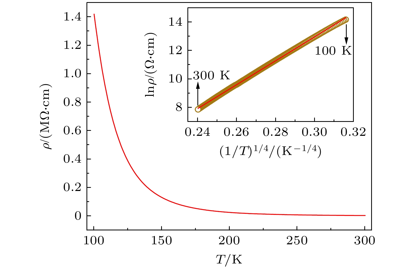
2O. Magnetization and specific heat measurements reveal that the exchange interactions are mainly antiferromagnetic, with a potential magnetic transition below 2 K. The electrical transport data demonstrate typical semiconductor behaviors, which can be further explained by a three-dimensional variable-range hopping model. Our study paves the way for putting this exotic perovskite oxynitride into practical applications.