Co-based metallic glass (MG) is a new class of soft magnetic material and has promising applications in high-frequency fields due to its high magnetic permeability and low coercivity. However, this kind of MG has poor glass-formation ability (GFA) and relatively low saturated magnetic flux density, so its application scope is limited. The atomic size of metalloid element M (B, C, Si, and P) is small, which can easily enter into the gap between atoms, and there is a relatively large negative enthalpy of mixing between metalloid element and metal element. Therefore, alloying with metalloid element M is an effective method to improve the GFA while maintaining superior soft magnetic properties for Co-based MG. In this work, the formation process of Co
72Y
3B
15M
10MG is simulated by
ab initiomolecular dynamics (AIMD) method, and the effects of the addition of metalloid elements C, Si, P on the GFA and magnetic properties of Co-Y-B MGs are investigated. It is devoted to analyzing the relationship between local atomic structure and property at an atomic level.
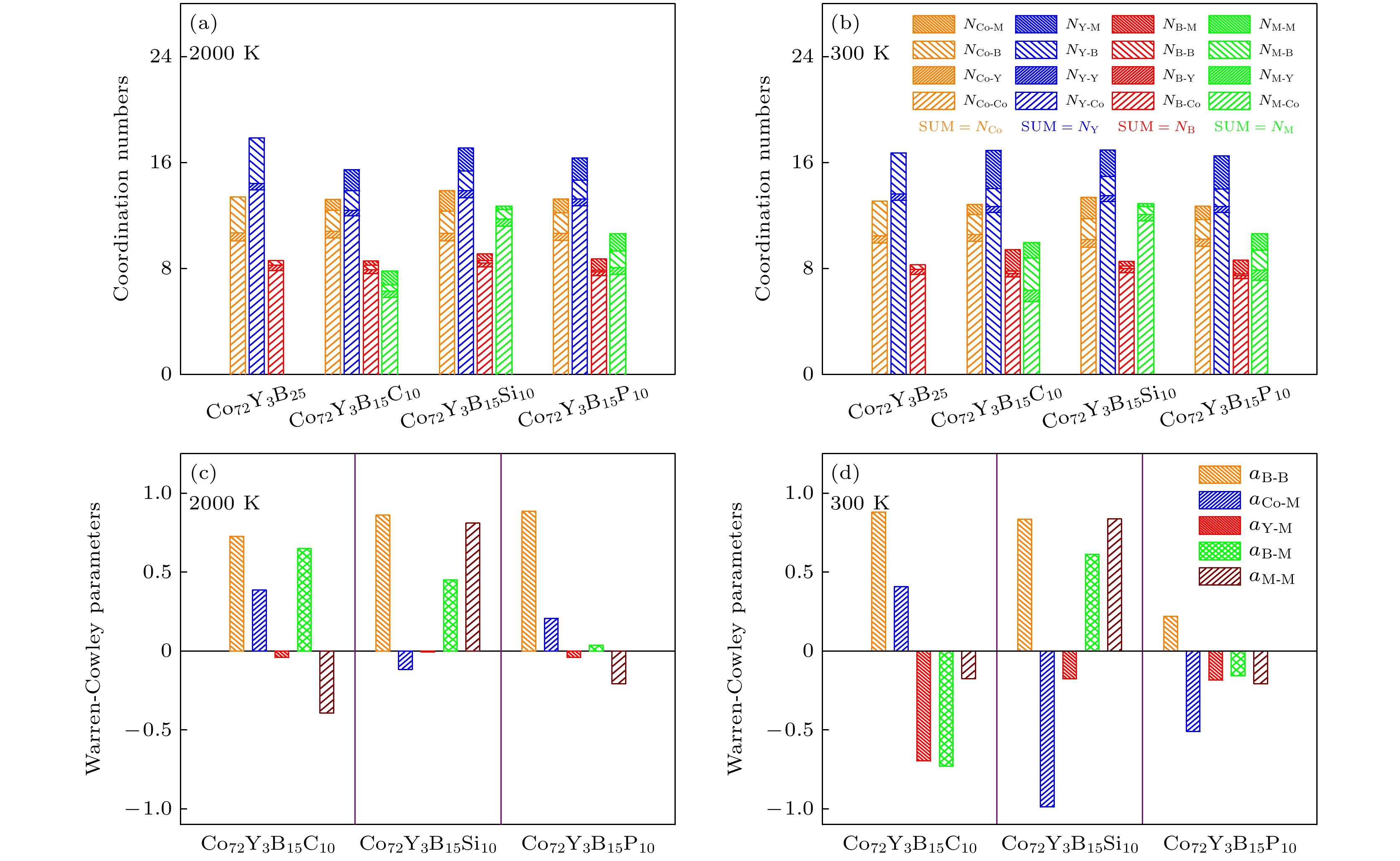
According to the results of the characterization parameters of local atomic structure (pair distribution function, coordination numbers, chemical short-range order, Voronoi polyhedron index, local five-fold symmetry, and mean square displacement), it is found that the GFA of the four alloys is different due to their different local atomic structures. Both Co
72Y
3B
15C
10alloy and Co
72Y
3B
15P
10alloy possess a higher fraction of prism structure, weaker solute segregation between B/C-C and B/P-P atoms, higher atomic diffusivity in the supercooled state (1100 K), and hence weakening the GFA of the alloys. The Co
72Y
3B
15Si
10alloy has a higher fraction of icosahedral-like structure, stronger attraction between Co-Si atoms and the solute segregation between B/Si-Si atoms, lower atomic diffusivity in the supercooled state, thereby increasing the GFA. Therefore, the addition of Si is beneficial for enhancing the GFA, while the addition of C or P will reduce the GFA, that is, the GFA of the four alloys decreases in the order of Co
72Y
3B
15Si
10> Co
72Y
3B
25> Co
72Y
3B
15P
10> Co
72Y
3B
15C
10. In terms of magnetic properties, with the addition of C, Si, P elements, the total magnetic moment of Co
72Y
3B
15M
10(M = B, C, Si, P) alloy decreases in the following order: Co
72Y
3B
25> Co
72Y
3B
15Si
10> Co
72Y
3B
15C
10> Co
72Y
3B
15P
10. The stronger p-d orbital hybridization between Co-Si atoms enhances the ferromagnetic exchange interaction, leading the total magnetic moment to be less affected by Si addition.