Terahertz (THz) wave usually refers to the electromagnetic wave with a frequency between 0.1—10.0 THz. It has potential applications in wireless communication, biomedical image processing, nondestructive testing, military radar, and other fields. However, owing to function limitation of the natural material, multifunctional terahertz devices are difficult to design and fabricate, which becomes a bottleneck for THz technology. The emergence of metamaterials fills the gap in the electromagnetic materials in the THz frequency band, and now they are widely used in THz functional devices, such as THz modulators, THz absorbers, THz filters, THz sensors, and THz slow-light devices. However, the above-mentioned THz devices all have a single function. For practical application, multifunction integrated THz devices have broader application prospects. As is well known, the Ge
2Sb
2Te
5(GST) is a typical phase transition material. Under excitation of light or electronic field, GST can realize a reversible phase transition between insulating state and metallic state. In order to achieve a switchable multifunctional THz device, in this work we design a THz metamaterial based on the phase transition material GST and realize a switchable function with slow-light and absorption functions. The THz metamaterial consists of a microstructure layer, which is composed of gold rings arranged periodically, and a GST thin film spaced by an SiO
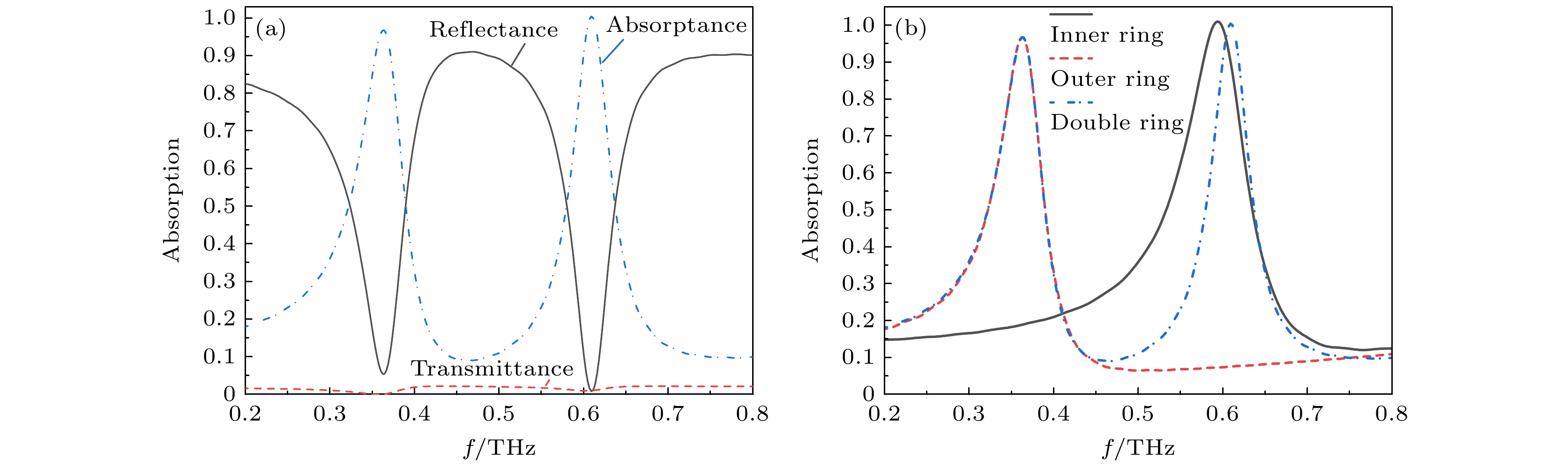
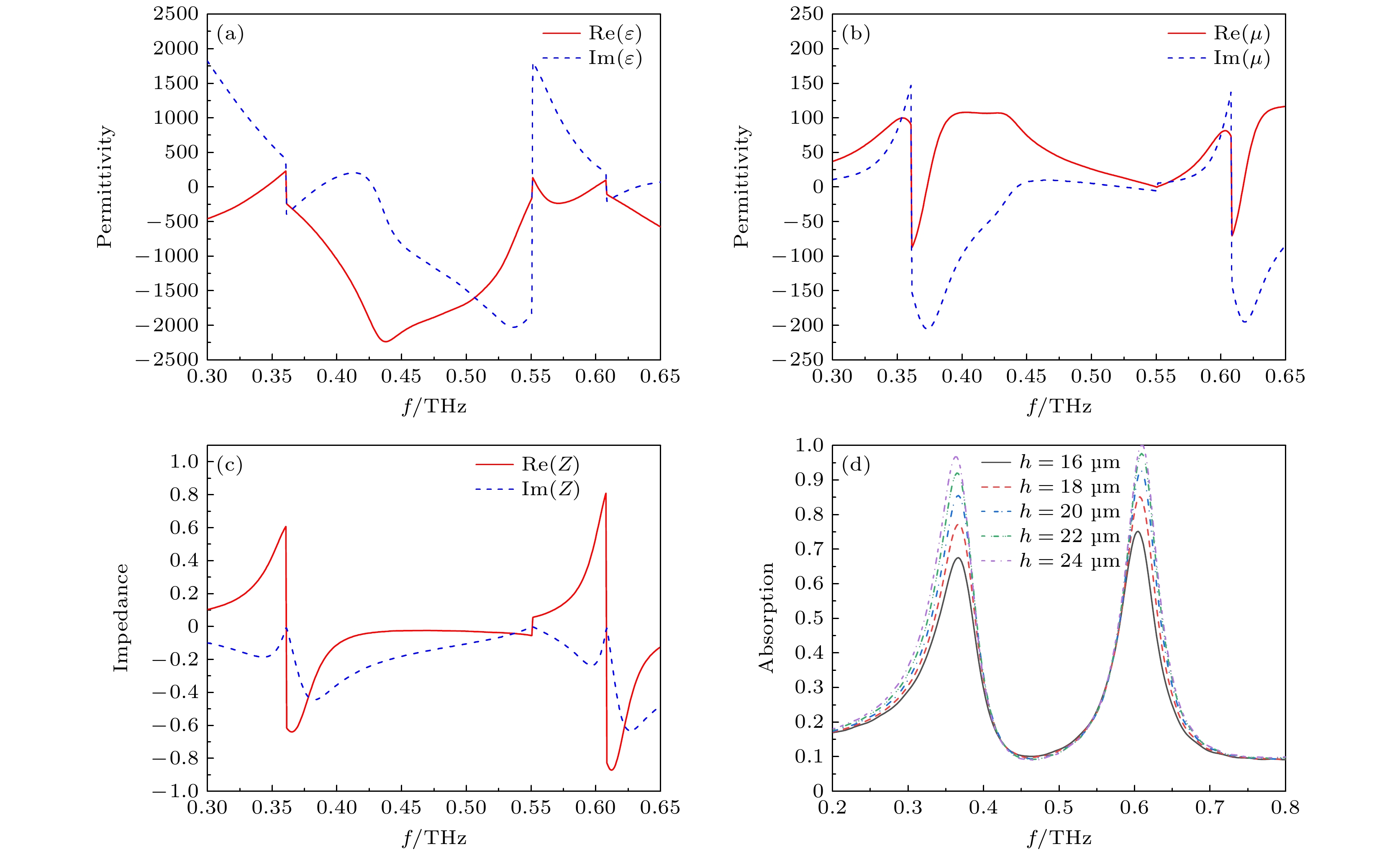
2dielectric layer. When GST is in an insulating state, the two gold rings are coupled to each other under the excitation of the THz pulse. Then, we can observe the EIT-like effect. The THz pulses propagating in the metamaterial we proposed can be slowed down, and a maximum group delay of the THz pulse can reach 3.6 ps. However, when GST is in a metallic state, we can observe two absorption peaks in the spectrum of the proposed THz metamaterial, and the absorption rate is 97% at a frequency of 0.365 THz and 100% at a frequency of 0.609 THz. Furthermore, we also investigate the polarization properties of the proposed THz metamaterial, and find that it has polarization insensitive characteristic. When the polarization angle of the incident THz light pulse changes from 0° to 90°, the slow-light and absorption properties of the THz metamaterial are unaffected. The proposed THz metamaterial has potential applications in THz biomedical image processing, THz optical switching, and THz optical buffer.