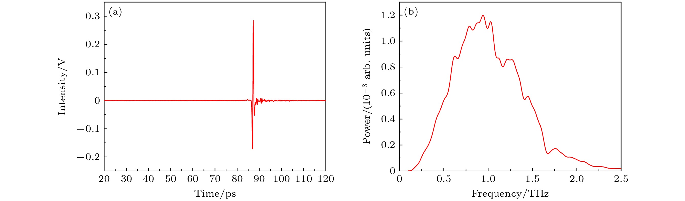
| [1] |
Li Gao-Fang, Yin Wen, Huang Jing-Guo, Cui Hao-Yang, Ye Han-Jing, Gao Yan-Qing, Huang Zhi-Ming, Chu Jun-Hao.Conductivity in sulfur doped gallium selenide crystals measured by terahertz time-domain spectroscopy. Acta Physica Sinica, 2023, 72(4): 047801.doi:10.7498/aps.72.20221548 |
| [2] |
Wang Zhi-Quan, Shi Wei.Holographic detection of pulsed terahertz waves in terahertz time-domain spectroscopy. Acta Physica Sinica, 2022, 71(18): 188704.doi:10.7498/aps.71.20220983 |
| [3] |
Man Liang, Deng Hao-Chuan, Wu Yang, Yu Xi-Long, Xiao Zhi-He.Echo spectrum modulation characteristics of plasma flow field simulated by wind tunnel. Acta Physica Sinica, 2022, 71(3): 035203.doi:10.7498/aps.71.20211471 |
| [4] |
.Experimental study on echo spectrum modulation characteristics of plasma flow field simulated by wind tunnel. Acta Physica Sinica, 2021, (): .doi:10.7498/aps.70.20211471 |
| [5] |
Hou Lei, Wang Jun-Nan, Wang Lei, Shi Wei.Experimental study and simulation analysis of terahertz absorption spectra ofα-lactose aqueous solution. Acta Physica Sinica, 2021, 70(24): 243202.doi:10.7498/aps.70.20211716 |
| [6] |
Song Ke-Chao, Huo Shuai-Nan, Tu Dong-Ming, Hou Xin-Fu, Wu Xiao-Jing, Wang Ming-Wei.Theoretical study on the modulation characteristics of THz wave by two-dimensional black phosphorus. Acta Physica Sinica, 2020, 69(17): 174205.doi:10.7498/aps.69.20200105 |
| [7] |
Zhang Xu-Tao, Que Xiao-Feng, Cai He, Sun Jin-Hai, Zhang Jing, Li Liang-Sheng, Liu Yong-Qiang.Simulations and time-domain spectroscopy measurements for terahertz radar-cross section. Acta Physica Sinica, 2019, 68(16): 168701.doi:10.7498/aps.68.20190552 |
| [8] |
Wang Shan, Wang Fu-Zhong.Adaptive stochastic resonance system in terahertz radar signal detection. Acta Physica Sinica, 2018, 67(16): 160502.doi:10.7498/aps.67.20172367 |
| [9] |
Lu Wen-Liang, Lou Shu-Qin, Wang Xin, Shen Yan, Sheng Xin-Zhi.False-color terahertz imaging system based on terahertz time domain spectrocsopy. Acta Physica Sinica, 2015, 64(11): 114206.doi:10.7498/aps.64.114206 |
| [10] |
Yan Xin, Liang Lan-Ju, Zhang Ya-Ting, Ding Xin, Yao Jian-Quan.A coding metasurfaces used for wideband radar cross section reduction in terahertz frequencies. Acta Physica Sinica, 2015, 64(15): 158101.doi:10.7498/aps.64.158101 |
| [11] |
Jiang Yue-Song, Nie Meng-Yao, Zhang Chong-Hui, Xin Can-Wei, Hua Hou-Qiang.Terahertz scattering property for the coated object of rough surface. Acta Physica Sinica, 2015, 64(2): 024101.doi:10.7498/aps.64.024101 |
| [12] |
Yang Jing-Qi, Li Shao-Xian, Zhao Hong-Wei, Zhang Jian-Bing, Yang Na, Jing Dan-Dan, Wang Chen-Yang, Han Jia-Guang.Terahertz study of L-asparagine and its monohydrate. Acta Physica Sinica, 2014, 63(13): 133203.doi:10.7498/aps.63.133203 |
| [13] |
Wang Rui-Jun, Deng Bin, Wang Hong-Qiang, Qin Yu-Liang.Electromagnetic scattering characteristic of aluminous targets in the terahertz and far infrared region. Acta Physica Sinica, 2014, 63(13): 134102.doi:10.7498/aps.63.134102 |
| [14] |
Liang Da-Chuan, Wei Ming-Gui, Gu Jian-Qiang, Yin Zhi-Ping, Ouyang Chun-Mei, Tian Zhen, He Ming-Xia, Han Jia-Guang, Zhang Wei-Li.Broad-band time domain terahertz radar cross-section research in scale models. Acta Physica Sinica, 2014, 63(21): 214102.doi:10.7498/aps.63.214102 |
| [15] |
Liang Mei-Yan, Zhang Cun-Lin.Improvement in the range resolution of THz radar using phase compensation algorithm. Acta Physica Sinica, 2014, 63(14): 148701.doi:10.7498/aps.63.148701 |
| [16] |
Dong Hai-Ming.Electrically-controlled nonlinear terahertz optical properties of graphene. Acta Physica Sinica, 2013, 62(23): 237804.doi:10.7498/aps.62.237804 |
| [17] |
Liu Wen-Jun, Mao Hong-Yan, Fu Guo-Qing, Qu Shi-Liang.Temporal statistics of multiply scattered terahertz pulses in scattering medium. Acta Physica Sinica, 2010, 59(2): 913-917.doi:10.7498/aps.59.913 |
| [18] |
Li Yan-Hui, Wu Zhen-Sen, Gong Yan-Jun, Zhang Geng, Wang Ming-Jun.Laser one-dimensional range profile. Acta Physica Sinica, 2010, 59(10): 6988-6993.doi:10.7498/aps.59.6988 |
| [19] |
Meng Kuo, Wang Yan-Hua, Chen Long-Wang, Zhang Yan.Resonant transmission of the terahertz pulse through a subwavelength metallic slit. Acta Physica Sinica, 2008, 57(5): 3198-3202.doi:10.7498/aps.57.3198 |
| [20] |
Ma Shi-Hua, Shi Yu-Lei, Xu Xin-Long, Yan Wei, Yang Yu-Ping, Wang Li.Low-frequency collective vibrational modes of asparagine by terahertz time-domain spectroscopy. Acta Physica Sinica, 2006, 55(8): 4091-4095.doi:10.7498/aps.55.4091 |