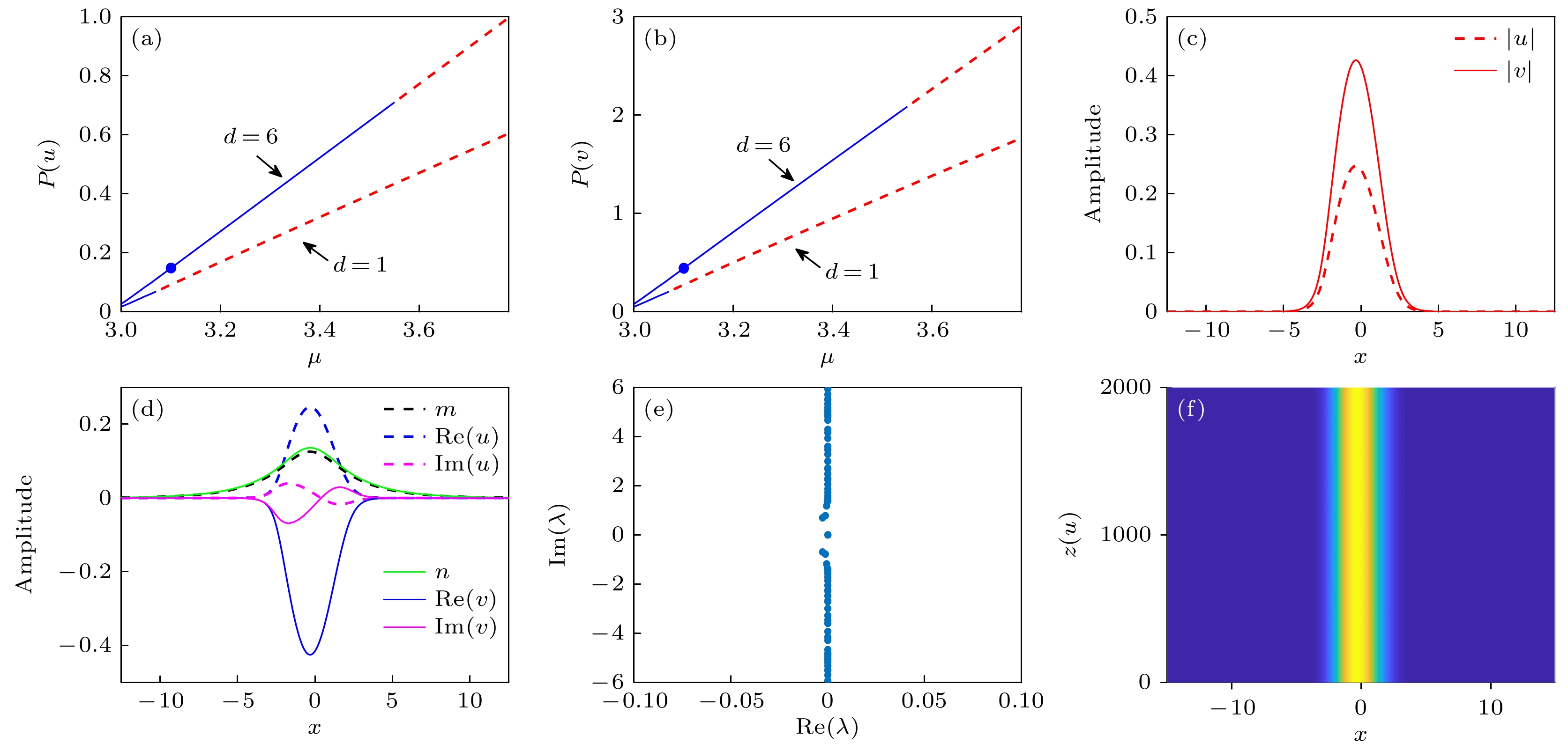
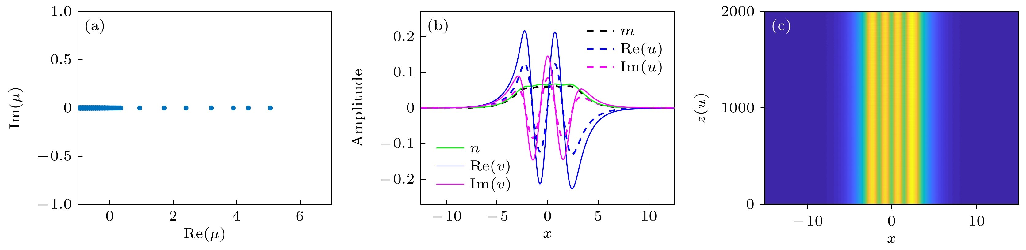
Parity-time (PT) symmetric is not a necessary condition for achieving a real spectrum and some studies about realizing real spectra in non-PT-symmetric systems with arbitrary gain–loss profiles have been presented recently. By tuning the free parameters in non-PT-symmetric potentials, phase transition could also be induced. Above phase transition point, discrete complex eigenvalues bifurcate out from continuous real eigenvalues in the interior of the continuous spectrum. In this work, we investgate the existence and stability of solitons in nonlocal nonlinear couplers with non-PT-symmetric complex potentials both below and above phase transition. There are several discrete eigenvalues in the linear spectra of the non-PT-symmetric system used here. With the square-operator iteration method, we find that different continuous families of solitions can bifurcate from different discrete linear eigenvalues. Moreover, linear-stability analysis collaborated with direct numerical propagation simulations demonstrates that the nonlocal solitions can be stable in a range of parameter values. we first address the cases below the phase transition. To be specific, when we fix the coupling coefficient and vary the degree of nonlocality, it’s found that fundamental solitons, dipole solitons, tripolar solitons, quadrupole solitons bifurcate from the largest,the second-largest, the third-largest and the fifth-largest discrete eigenvalue, respectively. These nonlocal solitons are all stable in the low power region. With an increase of the degree of nonlocality, the stability region shrinks for the fundamental solitons while it widens for the dipole and multiplole solitons. At the same time, the power of all the stable solitons increases with the increase of the degree of nonlocality. By varying the coupling coefficient, the arrangement of soliton families emerging in the discrete interval of the linear spectrum can be changed. For example, the dipole solitons bifurcate from the third-or fourth-largest discrete eigenvalue while the tripolar solitons bifurcate from the fifth largest discrete eigenvalue. Above phase transition,the fundamental solitons are unstable in the low and high power region but are stable in the moderate power region. The stability region shrinks with the increasing degree of nonlocality. We also find the family of dipole solitons bifurcates from the second-largest discrete eigenvalue, but all the dipole solitons are unstable. In addition, we find that the eigenvalues in linear-stability spectra of solitons emerge as conjugation pairs.