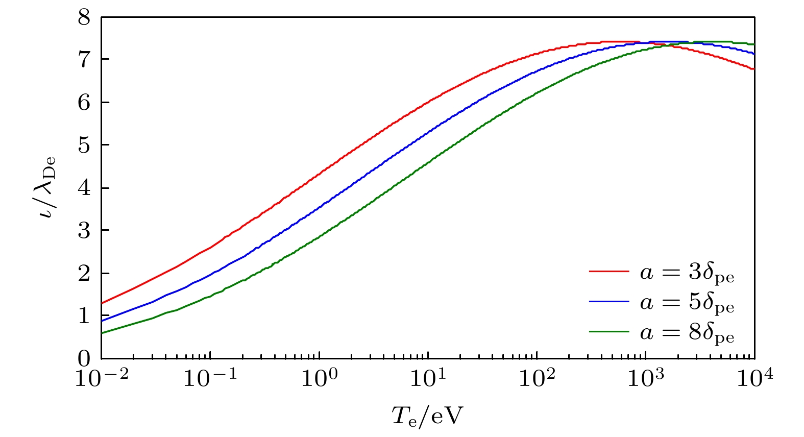
The blackout problem suffered by hypersonic vehicles as they re-enter the atmosphere is essential for effective communication of hypersonic vehicles. Aiming to solve this problem, in this paper, we proposed an antenna–sheath–plasma layer configuration, in which a thin plasma layer covered cylindrical metal antenna model is employed to investigate the radiation enhancement phenomenon by solving the dispersion equation of electromagnetic mode under optimized parameter conditions. Analytical results show that when the neutral gas pressure is low (
p =0.5 mTorr) and the antenna radius is triple the plasma skin depth, the thickness of the sheath between the surface of metal cylindrical antenna and plasma layer is about several Debye lengths, the azimuthally symmetric wave (
m= 0 mode) that propagates along the antenna surface belongs to the fast wave (the phase velocity is greater than the light speed), there exists a critical plasma frequency
ω
pe(or plasma density
n
0), above which the propagating mode becomes evanescent wave; for the propagation characteristic, there exists a critical normalized sheath thickness (
ι/
λ
De)
pha(or (
ι/
λ
De)
att), above which the phase constant (or the attenuation constant) begins to increase (or decrease) sharply, which indicates a significant change in the propagation property of the propagating mode; most importantly, when the wave frequency
ω/2π = 1 GHz, sheath thickness is one tenth of the whole plasma layer thickness, owing to the electron plasma frequency resonance and antenna-sheath-plasma resonance effect, the maximum radiation intensity of the symmetric wave exhibits an elliptical-like profile near
ω
pe/
ω= 1 and
ω
pe/
ω≈ 1.33, respectively, while only a single-point radiation enhancement occurs at frequencies far from GHz range. These conclusions not only provide a method to solve or alleviate the blackout problem of GHz frequency communication faced by the hypersonic vehicles when they re-enter the atmosphere, but also have potential applications in high-resolution imaging induced by plasmonic micro-nano sized enhanced radiation and high-resolution phased array antennas.