NO
+is one of the most important ions in the atmospheric ionosphere and ionospheric phenomena such as auroras, and is one of the most stable diatomic cations existing in interstellar clouds. It is crucial to understand the thermodynamic properties of NO
+ion for exploring the composition of interstellar gas. To obtain macroscopic thermodynamic properties of diatomic molecules and ions, a practical theoretical method is to determine the partition function associated with a potential model. This approach can be used to calculate various thermodynamic properties of the system based on the microscopic information.
In this work, the improved Hulbert-Hirschfelder (IHH) based potential energy model is used to simulate the potential energy curve of NO
+in the ground electronic state. Then, the rovibrational energy levels for the ground electronic state of the NO
+are obtained by numerically solving the radial Schrödinger equation through using the LEVEL program for the IHH potential function. Finally, the total partition function and the thermodynamic properties such as the molar heat capacity, entropy, enthalpy and reduced molar Gibbs free energy of NO
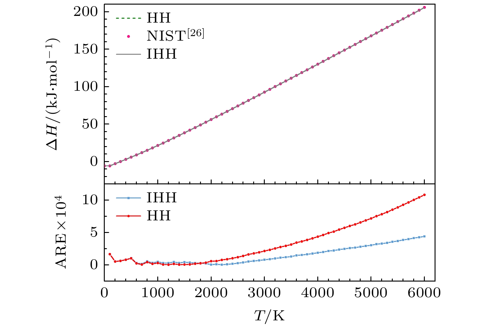
+in a temperature range of 100–6000 K are calculated in the frame of the quantum statistical ensemble theory. The comparison indicates that the potential energy curve calculated based on IHH potential energy function is in better agreement with the experimental data. The root mean square error of IHH potential and experimental Rydberg-Klein-Rees (RKR) potential is 96.9 cm
–1, the root mean square error of Hulbert-Hirschfelder (HH) potential is 112.7 cm
–1, and the root mean square error of MRCI/aug-cc-pV6Z potential is 133 cm
–1. And the macroscopic thermodynamic properties of NO
+predicted by IHH are closer to the experimental values, which shows that the IHH potential model is also applicable to the ion system.
A feasible method is presented to obtain the thermodynamic properties of gaseous diatomic ions based on microscopic information by constructing reliable analytical potential energy function associated with quantum statistical ensemble theory.