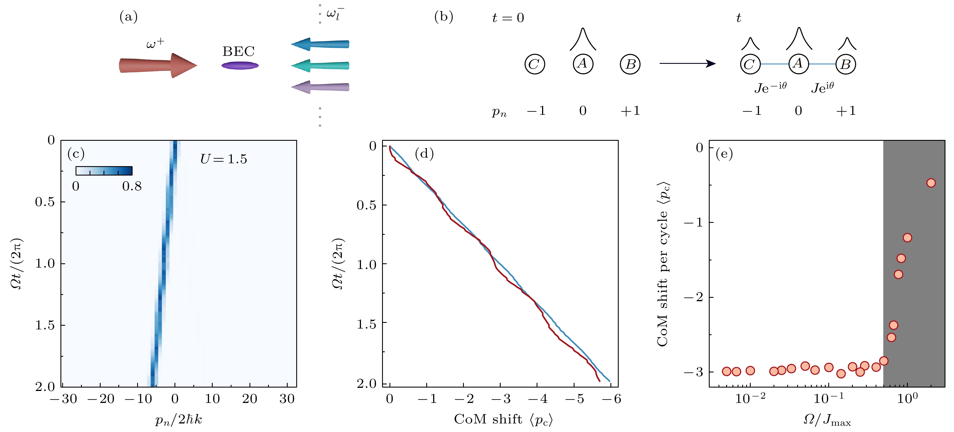
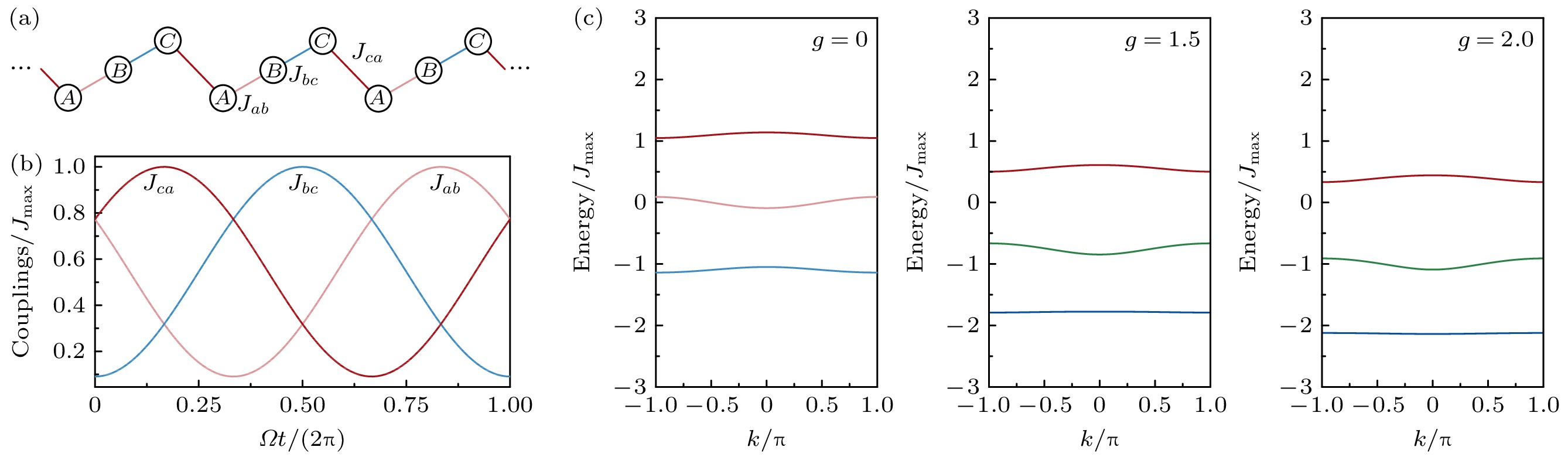
Topological pumping enables the quantized transport of matter waves through an adiabatic evolution of the system, which plays an essential role in the applications of transferring quantum states and exploring the topological properties in higher-dimensional quantum systems. Recently, exploring the interplay between novel topological pumping and interactions has attracted growing attention in topological systems, such as nonlinear topological pumping induced by interactions. So far, the experimental realizations of the nonlinear topological pumps have been realized only in the optical waveguide systems with Kerr nonlinearity. It is still necessary to further explore the phenomenon in different systems. Here, we present an experimental proposal for realizing the nonlinear topological pumping via a one-dimensional (1D) off-diagonal Aubry-André-Harper (AAH) model with mean-field interactions in the momentum space lattice of ultracold atoms. In particular, we develop a numerical method for calculating the energy band of the nonlinear systems. With numerical calculations, we first solve the nonlinear energy band structure and soliton solution of the 1D nonlinear off-diagonal AAH model in the region of weak interaction strengths. The result shows that the lowest or the highest energy band is modulated in the nonlinear system of
$ g > 0$
or
$ g < 0$
, respectively. The eigenstates of the associated energy bands have the features of the soliton solutions. We then show that the topological pumping of solitons exhibits quantized transport characteristics. Moreover, we numerically calculate the Chern number associated with the lowest and highest energy bands at different interaction strengths. The result shows that the quantized transport of solitons is determined by the Chern number of the associated energy band of the system from which solitons emanate. Finally, we propose a nonlinear topological pumping scheme based on a momentum lattice experimental system with
$ ^{7}\text{Li}$
atoms. We can prepare the initial state, which is approximately the distribution of the soliton state of the lowest energy band, and calculate the dynamical evolution of this initial state in the case of
$ U > 0$
. Also, we analyze the influence of adiabatic evolution conditions on the pumping process, demonstrating the feasibility of nonlinear topological pumping in the momentum lattice system. Our study provides a feasible route for investigating nonlinear topological pumping in ultracold atom systems, which is helpful for further exploring the topological transport in nonlinear systems, such as topological phase transitions and edge effects induced by nonlinearity.