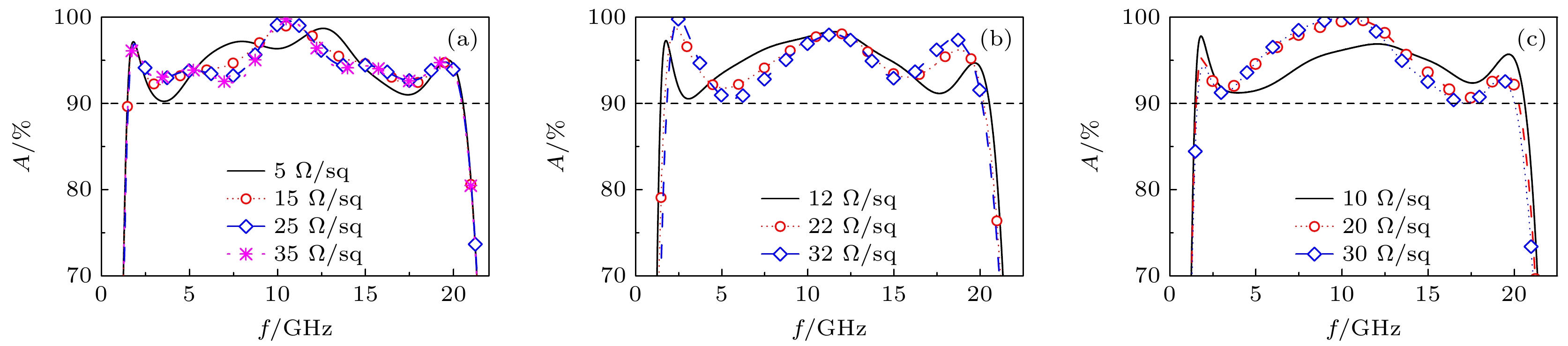
The design of thin frequency selective surface (FSS) absorber based on resistive film that meets the requirements of broadband, polarization independence, incident angle stability, and strong absorption is a challenging task. Fabrication tolerance of resistive film can result in fluctuations in sheet resistance, which negatively affects the absorber performance. To tackle these problems, this work firstly investigates how sheet resistance fluctuations affect the absorbing performance of resistive film FSS absorber. The analysis of simulated surface current density distribution and impedance reveals that the diversity of current paths provides an effective way to mitigate the influence of sheet resistance fluctuation. This is achieved by enabling flexible variation of surface current in response to sheet resistance fluctuations. Consequently, the variation of input impedance of the FSS absorber due to the fluctuation of sheet resistance is suppressed within a small range. Then, a method of extending bandwidth is proposed by employing the complementary variation of FSS impedance with frequency at different layers. By combining this approach with a miniaturization design, a thin and light FSS absorber is developed that exhibits ultra-wide bandwidth, polarization independence and angle stability while mitigating the effects of sheet resistance perturbation. The proposed FSS absorber achieves a 90% absorption bandwidth from 1.50 GHz to 20.50 GHz, covering Ku, X, C, S bands and part of the L and K bands, with a relative bandwidth reaching 173%. The absorber has a thickness of 0.093
λ
Lfor both transverse electric (TE) polarization and transverse magnetic (TM) polarization, yielding a figure of merit (FoM, the ratio of the theoretical minimum thickness to the actual thickness) of 0.95, indicating that the thickness is close to the theoretical limit. The absorber maintains over 90% absorption rate for TM polarization at an incidence angle of up to 70°, and 80% absorption for TE polarization at 45°. Furthermore, the 90% absorbance bandwidth of the absorber remains at 167.0% when the sheet resistance of any FSS layer fluctuates within a range from 12 to 30 Ω/sq. A prototype of the proposed FSS absorber is fabricated and measured, and the experimental results are in good agreement with the simulation results, thus validating the effectiveness of the proposed method.