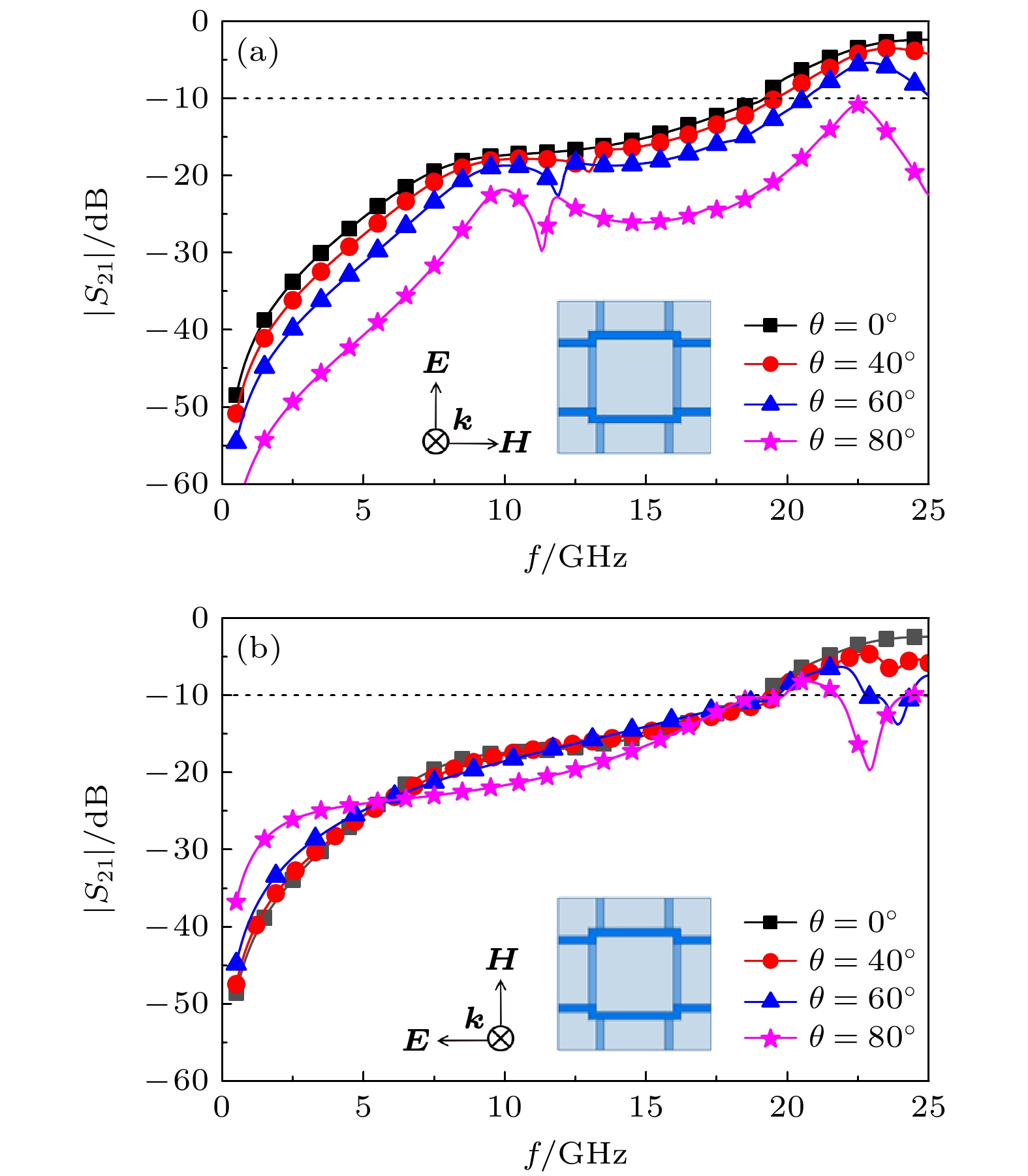
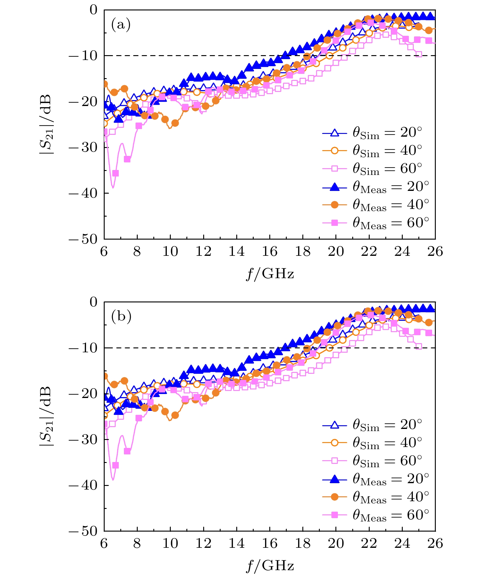
| [1] |
Jin Ying-Jie, Geng De-Lu, Lin Mao-Jie, Hu Liang, Wei Bing-Bo.Thermophysical properties and rapid solidification mechanism of liquid Zr60Ni25Al15alloy under electrostatic levitation condition. Acta Physica Sinica, 2024, 73(8): 086401.doi:10.7498/aps.73.20232002 |
| [2] |
Wang Tian-Ci, Xia Qian-Shan, Huang Xin-Zuo, Wang Yong-Zheng, Liu Bin, Zhang Jin-Tong, Li Tao.Preparation and properties of single-walled carbon nanotube/polyetherimide electromagnetic shielding film. Acta Physica Sinica, 2024, 73(17): 178101.doi:10.7498/aps.73.20240822 |
| [3] |
Li Hao, Pang Yong-Qiang, Qu Bing-Yue, Zheng Jiang-Shan, Xu Zhuo.Optical transparent metasurface lenses and their wireless communication efficiency enhancement. Acta Physica Sinica, 2024, 73(14): 144104.doi:10.7498/aps.73.20240464 |
| [4] |
Li Zi-Yang, Yang Xiao, Liu Hua-Song, Jiang Yu-Gang, Bai Jin-Lin, Li Shi-Da, Yang Shi-Qi, Su Jian-Zhong.Low optical diffraction random hexagonal structure metallic network conductive films. Acta Physica Sinica, 2022, 71(13): 134202.doi:10.7498/aps.71.20212010 |
| [5] |
Cao Chun-Lei, He Xiao-Tian, Ma Xiao-Jing, Xu Jin-Liang.Enhanced pool boiling heat transfer on soft liquid metal surface. Acta Physica Sinica, 2021, 70(13): 134703.doi:10.7498/aps.70.20202053 |
| [6] |
Bai Wan-Xin, Li Tian-Le, Guo An-Qi, Cheng Rui-Qi, Jiao Chong-Qing.Analytical theory on electromagnetic shielding effectiveness of infinite conductor plate with periodic aperture array under plane wave illumination. Acta Physica Sinica, 2019, 68(10): 104101.doi:10.7498/aps.68.20182070 |
| [7] |
Jiao Chong-Qing, Li Yue-Yue.Analytical formulation for electromagnetic leakage from an apertured rectangular cavity. Acta Physica Sinica, 2014, 63(21): 214103.doi:10.7498/aps.63.214103 |
| [8] |
Wang Xiu-Zhi, Gao Jin-Song, Xu Nian-Xi.Characteristics of polarization separation of frequency selective surface by lumped inductors and capacitors. Acta Physica Sinica, 2013, 62(14): 147307.doi:10.7498/aps.62.147307 |
| [9] |
Xia Bu-Gang, Zhang De-Hai, Meng Jin, Zhao Xin.Restrain the spurious resonance of second-order fractal frequency selective surface in MMW band. Acta Physica Sinica, 2013, 62(17): 174103.doi:10.7498/aps.62.174103 |
| [10] |
Wang Xiu-Zhi, Gao Jin-Song, Xu Nian-Xi.Design and study of the dual-band frequency-selective surface operation at Ku/Ka-band. Acta Physica Sinica, 2013, 62(16): 167307.doi:10.7498/aps.62.167307 |
| [11] |
Jiao Jian, Xu Nian-Xi, Feng Xiao-Guo, Liang Feng-Chao, Zhao Jing-Li, Gao Jin-Song.Design and study of the active frequency selective surface based on the complementary screen. Acta Physica Sinica, 2013, 62(16): 167306.doi:10.7498/aps.62.167306 |
| [12] |
Jiao Chong-Qing, Niu Shuai.Shielding effectiveness of an apertured rectangular cavity against the near-field electromagnetic waves. Acta Physica Sinica, 2013, 62(11): 114102.doi:10.7498/aps.62.114102 |
| [13] |
Zhang Jian, Gao Jin-Song, Xu Nian-Xi.Design and study of optically transparent band-pass frequency selective surface. Acta Physica Sinica, 2013, 62(14): 147304.doi:10.7498/aps.62.147304 |
| [14] |
Niu Shuai, Jiao Chong-Qing, Li Lin.Shielding effectiveness of a metal cavity covered by a material with a medium conductivity. Acta Physica Sinica, 2013, 62(21): 214102.doi:10.7498/aps.62.214102 |
| [15] |
Mi Guang-Bao, Li Pei-Jie, Huang Xu, Cao Chun-Xiao.Relationship between liquid structure and property IIIresidual bond theoretical model. Acta Physica Sinica, 2012, 61(18): 186106.doi:10.7498/aps.61.186106 |
| [16] |
Jiao Chong-Qing, Qi Lei.Electromagnetic coupling and shielding effectiveness of apertured rectangular cavity under plane wave illumination. Acta Physica Sinica, 2012, 61(13): 134104.doi:10.7498/aps.61.134104 |
| [17] |
Chen Qian, Jiang Jian-Jun, Bie Shao-Wei, Wang Peng, Liu Peng, Xu Xin-Xin.Tunable composite absorber with active frequency selective surface. Acta Physica Sinica, 2011, 60(7): 074202.doi:10.7498/aps.60.074202 |
| [18] |
Gao Jin-Song, Wang Shan-Shan, Feng Xiao-Guo, Xu Nian-Xi, Zhao Jing-Li, Chen Hong.Design and study of second-order Y-loop frequency selective surfaces. Acta Physica Sinica, 2010, 59(10): 7338-7343.doi:10.7498/aps.59.7338 |
| [19] |
Zhang Ming-Xiao, Tian Xue-Lei, Guo Feng-Xiang.Design and application of a device based on electromagnetic induction principle for electrical resistivity qualitative measurement of liquid and solid metals. Acta Physica Sinica, 2009, 58(9): 6080-6085.doi:10.7498/aps.58.6080 |
| [20] |
Li Xiao-Qiu, Feng Xiao-Guo, Gao Jin-Song.Optically transparent band-pass frequency selective surface. Acta Physica Sinica, 2008, 57(5): 3193-3197.doi:10.7498/aps.57.3193 |