| [1] |
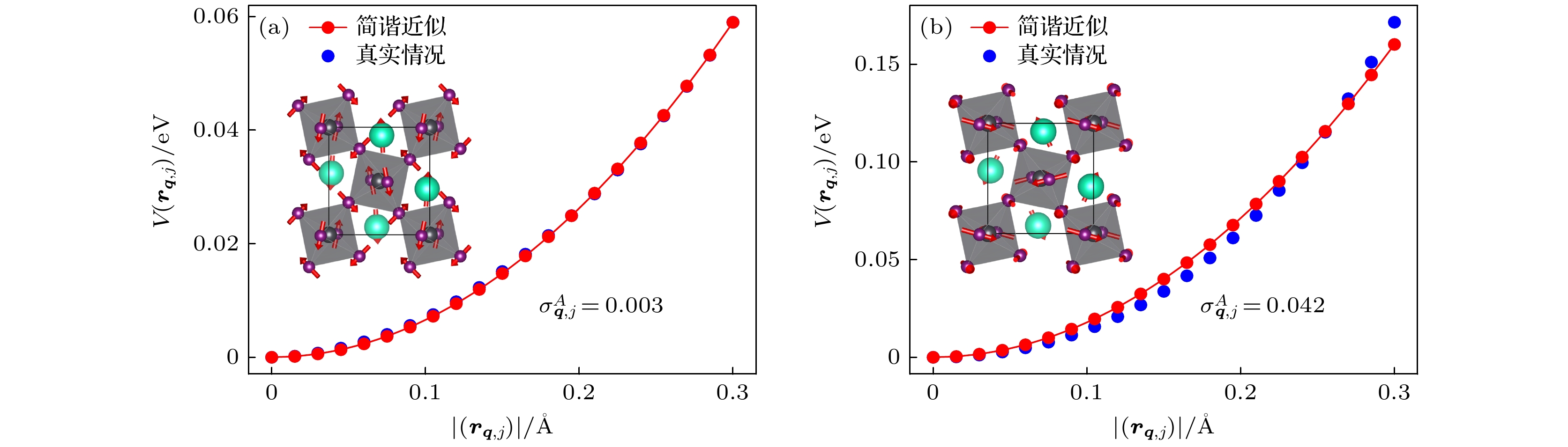
Xiao Zhi-Feng, Wang Shou-Yu, Dai Ya-Ting, Kang Xin-Miao, Zhang Zhen-Hua, Liu Wei-Fang.Physical mechanism of Ge doping enhanced Ruddlesden-Popper structure quasi-2D Sr3Sn2O7ceramic hybrid improper ferroelectricity. Acta Physica Sinica, 2024, 73(14): 147702.doi:10.7498/aps.73.20240583 |
| [2] |
Huang Sheng-Xing, Chen Jian, Wang Wen-Fei, Wang Xu-Dong, Yao Man.First principle calculation of thermoelectric transport performances of new dual transition metal MXene. Acta Physica Sinica, 2024, 73(14): 146301.doi:10.7498/aps.73.20240432 |
| [3] |
Song Xie-Fei, Shai Xu-Xia, Li Jie, Ma Xin-Ru, Fu Yun-Chang, Zeng Chun-Hua.Electronic and optical properties of inorganic lead-free perovskite Cs3Bi2I9. Acta Physica Sinica, 2022, 71(1): 017101.doi:10.7498/aps.71.20211599 |
| [4] |
Yang Shun-Jie, Li Chun-Mei, Zhou Jin-Ping.First-principles study of magnetic disordering and alloying effects on phase stability and elastic constants of Co2CrZ(Z= Ga, Si, Ge) alloys. Acta Physica Sinica, 2022, 71(10): 106201.doi:10.7498/aps.71.20212254 |
| [5] |
.Electronic and Optical Properties of Inorganic Lead-free Perovskite Cs3Bi2I9. Acta Physica Sinica, 2021, (): .doi:10.7498/aps.70.20211599 |
| [6] |
Wang En, Dong Wen-Han, Zhou Hui, Liu Meng, Ji Hong-Yan, Meng Sheng, Sun Jia-Tao.Nonequilibrium states in quantum materials under time-period driving. Acta Physica Sinica, 2021, 70(13): 138101.doi:10.7498/aps.70.20201808 |
| [7] |
Li Tian-Jing, Cao Xiu-Xia, Tang Shi-Hui, He Lin, Meng Chuan-Min.Crystal-orientation effects of the optical extinction in shocked Al2O3: a first-principles investigation. Acta Physica Sinica, 2020, 69(4): 046201.doi:10.7498/aps.69.20190955 |
| [8] |
Wang Tuo, Chen Hong-Yi, Qiu Peng-Fei, Shi Xun, Chen Li-Dong.Thermoelectric properties of Ag2S superionic conductor with intrinsically low lattice thermal conductivity. Acta Physica Sinica, 2019, 68(9): 090201.doi:10.7498/aps.68.20190073 |
| [9] |
Zhu Zhen-Ye.Piezoelectric effect mechanism in lead-free tetragonal perovskite short-period superlattices. Acta Physica Sinica, 2018, 67(7): 077701.doi:10.7498/aps.67.20172710 |
| [10] |
Zhang Wei, Chen Kai-Bin, Chen Zhen-Dong.First-principles study on Jahn-Teller effect in Cr monolayer film. Acta Physica Sinica, 2018, 67(23): 237301.doi:10.7498/aps.67.20181669 |
| [11] |
Liu Qi, Guan Peng-Fei.First principle study on atomic structure of La65X35(X=Ni, Al) metallic glasses. Acta Physica Sinica, 2018, 67(17): 178101.doi:10.7498/aps.67.20180992 |
| [12] |
Cheng Zheng-Fu, Zheng Rui-Lun.Influence of the anharmonic vibration on the Young modulus and the phonon frequency of the graphene. Acta Physica Sinica, 2016, 65(10): 104701.doi:10.7498/aps.65.104701 |
| [13] |
Yuan Zhen-Kun, Xu Peng, Chen Shi-You.Computational prediction of lattice defects in multinary compound semiconductors as photovoltaic materials. Acta Physica Sinica, 2015, 64(18): 186102.doi:10.7498/aps.64.186102 |
| [14] |
Chen Jia-Hua, Liu En-Ke, Li Yong, Qi Xin, Liu Guo-Dong, Luo Hong-Zhi, Wang Wen-Hong, Wu Guang-Heng.First-principles investigations on tetragonal distortion, electronic structure, magnetism, and phonon dispersion of Ga2XCr (X = Mn, Fe, Co, Ni, Cu) Heusler alloys. Acta Physica Sinica, 2015, 64(7): 077104.doi:10.7498/aps.64.077104 |
| [15] |
Bao Hua.Prediction of lattice thermal conductivity of solid argon from anharmonic lattice dynamics method. Acta Physica Sinica, 2013, 62(18): 186302.doi:10.7498/aps.62.186302 |
| [16] |
Li Xue-Mei, Han Hui-Lei, He Guang-Pu.Lattice dynamical, dielectric and thermodynamic properties of LiNH2 from first principles. Acta Physica Sinica, 2011, 60(8): 087104.doi:10.7498/aps.60.087104 |
| [17] |
Xin Xiao-Gui, Chen Xiang, Zhou Jing-Jing, Shi Si-Qi.A first principles study of the lattice dynamics property of LiFePO4. Acta Physica Sinica, 2011, 60(2): 028201.doi:10.7498/aps.60.028201 |
| [18] |
Li Pei-Juan, Zhou Wei-Wei, Tang Yuan-Hao, Zhang Hua, Shi Si-Qi.Electronic structure,optical and lattice dynamical properties of CeO2:A first-principles study. Acta Physica Sinica, 2010, 59(5): 3426-3431.doi:10.7498/aps.59.3426 |
| [19] |
Liu Li-Hua, Zhang Ying, Lü Guang-Hong, Deng Sheng-Hua, Wang Tian-Min.First-principles study of the effects of Sr segregated on Al grain boundary. Acta Physica Sinica, 2008, 57(7): 4428-4433.doi:10.7498/aps.57.4428 |
| [20] |
Sun Bo, Liu Shao-Jun, Duan Su-Qing, Zhu Wen-Jun.First-principles calculations of structures, properties and high pressures effects of Fe. Acta Physica Sinica, 2007, 56(3): 1598-1602.doi:10.7498/aps.56.1598 |