-
This research focuses on enhancing Co-based high-temperature alloys by using γ'precipitate phases to address the structural metastability of γ'-Co 3(Al, W). By adding Ti and Ta, the γ'-Co 3(V, Ti) and γ'-Co 3(V, Ta) of Co-V alloys are stabilized, surpassing the performance of traditional Co-Al-W alloys. Utilizing a 2×2×2 supercell model and density functional theory (DFT), we investigate these alloys' phase stabilities and mechanical, thermodynamic, and electronic properties. Our findings show that γ'-Co 3(V, Ti) phase and γ'-Co 3(V, Ta) phases are stable at 0 K, evidenced by negative formation enthalpies and stable phonon spectra. Mechanical analysis confirms their stabilities through elastic constants and detailed evaluations of properties such as bulk modulus, shear modulus, and Young’s modulus, revealing excellent resistance to deformation and ductility. The electronic structure analysis further distinguishes γ'-Co 3(V, Ta) for superior electronic stability, which is attributed to its lower state density and deviation from “pseudogap” peaks. Thermodynamically, the quasi-harmonic Debye model highlights the γ'-Co 3(V, Ti) phase’s temperature-sensitive thermal expansion coefficient, while γ'-Co 3(V, Ta) maintains higher stability at elevated temperatures. As temperature rises, both phases show decreased resistance to deformation, though they maintain comparable heat resistance due to low-temperature dependency. These results suggest that Co-V-Ti alloy and Co-V-Ta alloy can maintain their γ'phase stability at higher temperatures, enhancing Co-based high-temperature alloys’ performances and phase stabilities. This progress is crucial for developing new Co-based superalloys, and is of great significance for their applications and performance optimization.
-
Keywords:
- superalloys/
- first-principles calculation/
- structural stability/
- thermodynamic properties.
[1] [2] [3] [4] [5] [6] [7] [8] [9] [10] [11] [12] [13] [14] [15] [16] [17] [18] [19] [20] [21] [22] [23] [24] [25] [26] [27] [28] [29] [30] [31] [32] [33] [34] [35] [36] [37] [38] [39] [40] [41] [42] [43] [44] [45] [46] [47] [48] [49] [50] [51] [52] [53] [54] [55] [56] [57] [58] [59] [60] [61] [62] [63] -
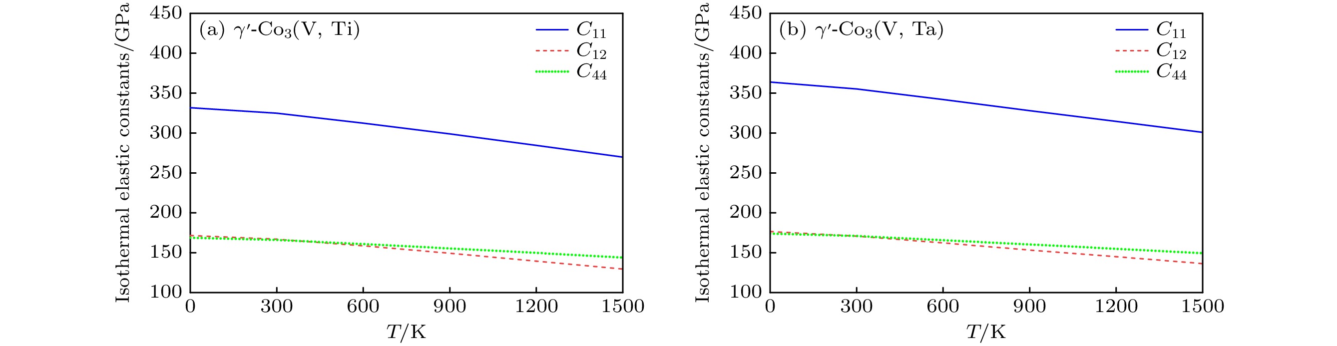
Materials Ni3Al Co3(Al, W) Co3(V, Ti) Co3(V, Ta) Cal.a) Cal.b) Exp.c) d) Cala) Cal.b) Exp.e) Cal.a) Cal.a) a/Å 3.566 3.568 3.572 3.563 3.566 3.599 3.537 3.577 V/Å3 45.361 45.423 45.576 45.216 45.347 46.617 44.249 45.761 ρ/(g·cm–3) 7.433 7.427 7.405 10.364 10.334 10.056 8.489 10.623 $ \Delta {H}_{{\mathrm{f}}}/ $(kJ·mol–1) –41.399 –42.613 –41.3d) –13.194 –14.958 — –21.678 –20.568 注:a)This work;b)Ref. [48], GGA-PAW;c)Ref.[49], experiment;d)Ref. [50], experiment;e)Ref.[10], experiment. Materials Ni3Al Co3(Al, W) Co3(V, Ti) Co3(V, Ta) Cal.a) Cal.b) Exp.c)d) Cala) Cal.e) Exp.f) Cal.a) Cal.a) C11/GPa 232 238.85 223 334 304 271 344 369 C12/GPa 153 146.07 148 189 181 172 178 176 C44/GPa 125 126.61 125 182 177 162 174 173 B/GPa 179 176.98 173 237 222 205 233 240 G/GPa 79 84.68 77 126 116 101 130 137 E/GPa 206 219.10 201 320 296 260 327 345 B/G 2.267 2.090 2.250 1.886 1.92 2.03 1.802 1.754 υ 0.308 0.290 0.310 0.275 0.278 0.290 0.266 0.260 C12–C44/GPa 28 19.46 23 8 4 10 4 3 HV/GPa 6.83 11.65 — 12.99 — — 14.153 15.3 ΘD/K 482.7 — 470d 514.6 — — 580.4 527.4 注:a)This work;b)Ref.[52], GGA-PBE;c)Ref. [53], experiment;d)Ref. [54], experiment;e)Ref. [26], GGA-PBE;f)Ref.[55], experiment. Materials T C11 C12 C44 B G E B/G υ HV Θ Co3(V, Ti) 0 332 171 169 225 125 317 1.80 0.265 13.88 571.5 300 325 167 166 220 123 311 1.78 0.264 13.87 567.2 600 312 159 161 210 120 302 1.75 0.260 13.91 559.8 900 299 149 155 199 116 291 1.72 0.256 13.98 551.6 1200 284 139 150 188 112 280 1.68 0.251 14.13 542.9 1500 270 129 144 176 108 269 1.64 0.246 14.26 533.5 Co3(V, Ta) 0 364 176 174 239 136 342 1.76 0.261 15.10 525.0 300 355 171 171 232 133 336 1.74 0.259 15.17 521.0 600 342 162 166 222 130 326 1.71 0.256 15.20 514.2 900 328 153 160 212 126 315 1.68 0.252 15.24 506.8 1200 315 145 155 202 122 304 1.66 0.249 15.24 499.5 1500 301 136 149 191 118 293 1.63 0.245 15.27 491.6 -
[1] [2] [3] [4] [5] [6] [7] [8] [9] [10] [11] [12] [13] [14] [15] [16] [17] [18] [19] [20] [21] [22] [23] [24] [25] [26] [27] [28] [29] [30] [31] [32] [33] [34] [35] [36] [37] [38] [39] [40] [41] [42] [43] [44] [45] [46] [47] [48] [49] [50] [51] [52] [53] [54] [55] [56] [57] [58] [59] [60] [61] [62] [63]
Catalog
Metrics
- Abstract views:1698
- PDF Downloads:71
- Cited By:0












DownLoad:




