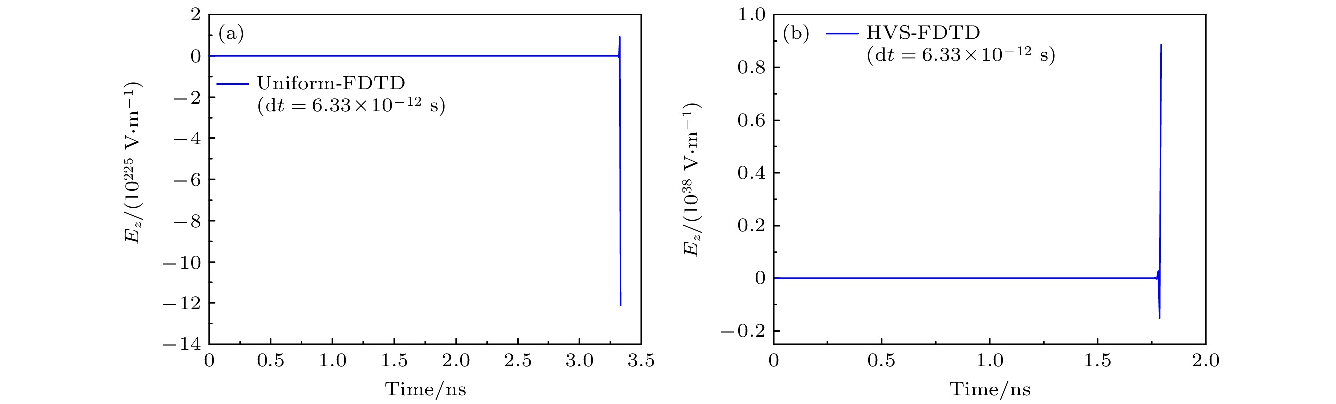
Due to the limitation of the stability condition, the finite-difference time-domain (FDTD) method cannot efficiently deal with electromagnetic problems containing fine structures. The explicit and unconditionally stable (EUS) FDTD method can eliminate the constraint of the stability condition and improve the simulation efficiency of fine structures by filtering out the unstable modes for the system matrix. However, the EUS-FDTD method needs to solve the eigenvalues of the numerical system matrix, and the symmetry of the numerical system matrix needs to be ensured when the subgridding scheme is used to discretize targets containing fine structures. The existing EUS-FDTD subgridding method encounters some problems such as complex implementation and insufficient accuracy. In order to solve the above problems, in this work, the hanging variables subgridding (HVS) algorithm is applied to the EUS-FDTD algorithm. Starting from the symmetry of the system matrix, the stability of the hanging variables subgridding algorithm is proven, and a high-precision, stable, and easy-to-implement HVS-EUS-FDTD scheme is proposed. Numerical examples of the radiation of linear magnetic currents in free space, electromagnetic scattering of multiple dielectric objects, and a three-dimensional cavity containing a medium demonstrate the stability, high accuracy and efficiency of the proposed method. Numerical experiments show that the computational efficiency of the HVS-EUS-FDTD algorithm can be improved hundreds of times compared with that of the uniform fine grid FDTD algorithm, and the highest computational efficiency can be improved up to ratio (the size ratio of coarse grid to fine grid) times compared with that of the HVS-FDTD algorithm.