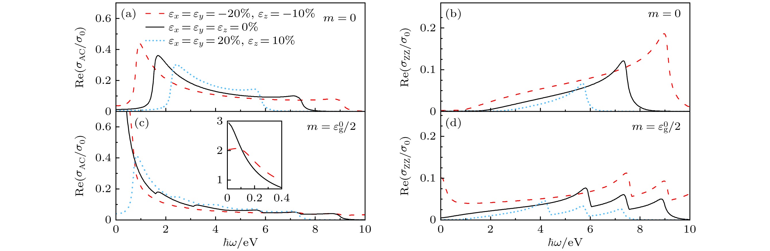
Black phosphorene (BP) has been widely investigated for its anisotropic and unique photoelectric properties. Strain, voltage and so on are commonly used to modulate the energy band structure and accordingly its photoelectric characteristics. In this study, we consider the energy band structure of BP in the vertical magnetic field, electric field, and in-plane/out-of-plane strains by using the tight-binding approximate Hamiltonian. The anisotropic frequency-dependent interband optical conductivity (IOC) of BP is investigated by using the Kubo formula in these modulation factors. Inherent asymmetry in band dispersion along the armchair (AC) direction and the zigzag (ZZ) direction leads to anisotropic IOC. The introduction of a vertical magnetic field induces band splitting, thereby generating multiple interband transition channels. In this case, the IOC along both the AC direction and the ZZ direction exhibits three peaks around the original peak position, and the magnitudes of the peaks are also modulated. With the increase of in-plane strain (from –20% to 20%), the band gap increases monotonically, and both the position and magnitude of the peaks vary with band gap changing. However, the band gap of BP undergoes a non-monotonic change under out-of-plane strain (from –20% to 20%), which is different from the change under in-plane strain. The band gap reaches a minimum value when a tensile strain of 12% is applied. Along the AC direction, the modulation of the IOC by in-plane strain is opposite to the modulation of out-of-plane strain (
ε
z< 12%), indicating a competitive effect when triaxial strains are applied. Along the ZZ direction, in-plane strain primarily modulates the peak magnitude, while out-of-plane strain effectively modulates not only the peak position but also the peak magnitude obviously. The modulation of the IOC by forward and reverse electric fields are symmetrical. The coefficient for the peak position shift due to the vertical electric field is 1/2 in the AC direction and 1/10 in the ZZ direction. By integrating various modulation factors, we achieve versatile control over the energy band and IOC of BP, providing theoretical support for the application of BP in optoelectronic devices.