The study of diffusion in complex confined environments has received great attention in the field of condensed matter physics. The emergence of colloidal systems provides an excellent experimental model system for quantitatively studying the confined diffusion of microscopic particles. When colloidal particles change from spherical to ellipsoidal shape, the system presents anisotropic diffusion dynamics. Recent studies have found that rough surfaces, another important physical parameter of colloids, can lead to unusual rotational dynamics in spherical colloidal systems. However, due to the lack of a suitable experimental system, little is known about the effect of rough surfaces on the confined diffusion of ellipsoidal colloidal particles. In this work, rough colloidal spheres, rough colloidal ellipsoids, and smooth colloidal ellipsoids are prepared, and then monolayer colloidal samples are prepared to study the confined diffusions of these two types of ellipsoids in dense packing of the rough sphere colloids. By calculating the mean square displacement, intermediate self-scattering function, and orientation correlation function of the ellipsoids, we quantitatively characterize the diffusion dynamics of rough and smooth ellipsoids in varying concentrations of rough spheres. The results indicate that the translational diffusion and rotational diffusion of rough ellipsoids and smooth ellipsoids slow down as the concentration of rough spheres increases. This is due to the confinement of the ellipsoid by the surrounding spheres. At low stacking fractions of spheres, smooth and rough ellipsoids show similar translational diffusion and rotational diffusion. However, as the stacking fraction of spheres increases, there is a significant difference in advection diffusion between rough ellipsoids and smooth ellipsoids. The advection diffusion of rough ellipsoids is significantly slower than that of smooth ellipsoids. This is because the rough surface strongly inhibits rotation, meaning that the rotational diffusion of the rough ellipsoids is significantly slower than that of the smooth ellipsoids. By extracting the diffusion coefficients for translation and rotation from the ellipsoid's long-time mean-square displacements, we find that at
ϕ= 0.60 and 0.65, the diffusion coefficients of rough ellipsoids are smaller than those of smooth ellipsoids. The translational diffusion coefficient of the rough ellipsoids is notably smaller than that of the smooth ellipsoids. However, the rotation diffusion coefficient of the rough ellipsoids is not significantly different from that of the smooth ellipsoids. This suggests that the rough surface mainly affect translational diffusion, strongly suppressing the translational diffusion of the ellipsoids. By calculating the displacement probability distribution for ellipsoidal motion, we find that at
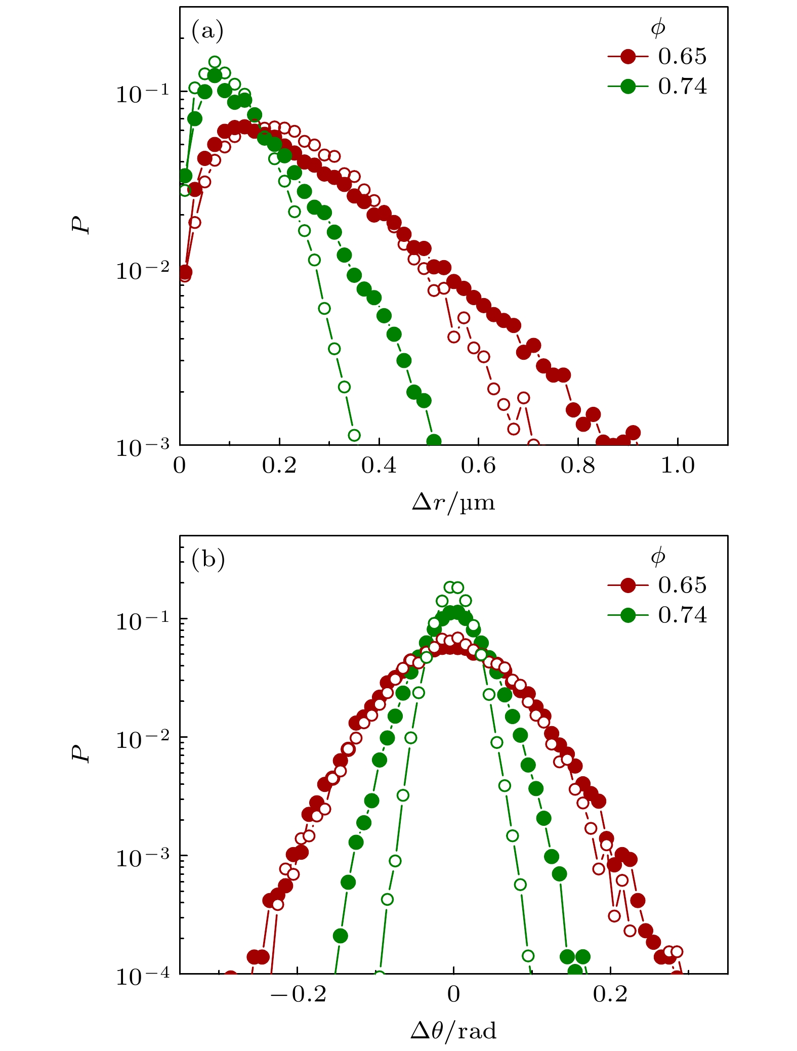
ϕ= 0.65, the translational displacements of rough ellipsoids have a relatively narrow distribution. This suggests that the translational motion of particles is suppressed by the rough surface. However, the distributions of rotation displacement for smooth ellipsoids and rough ellipsoids are very similar, indicating that the rough surface has less influence on particle rotation. At
ϕ= 0.74, the rough surface suppresses both the translation and the rotation of the ellipsoid, resulting in a narrower displacement distribution than in the case of smooth ellipsoid. These findings suggest that rough surfaces significantly impede ellipsoidal diffusion, leading the translational and rotational motions not to occur simultaneously. This study provides an in-depth understanding of the role of rough surfaces of colloidal particles in confined diffusion, as well as an experimental basis for explaining the diffusion laws of rough materials.