-
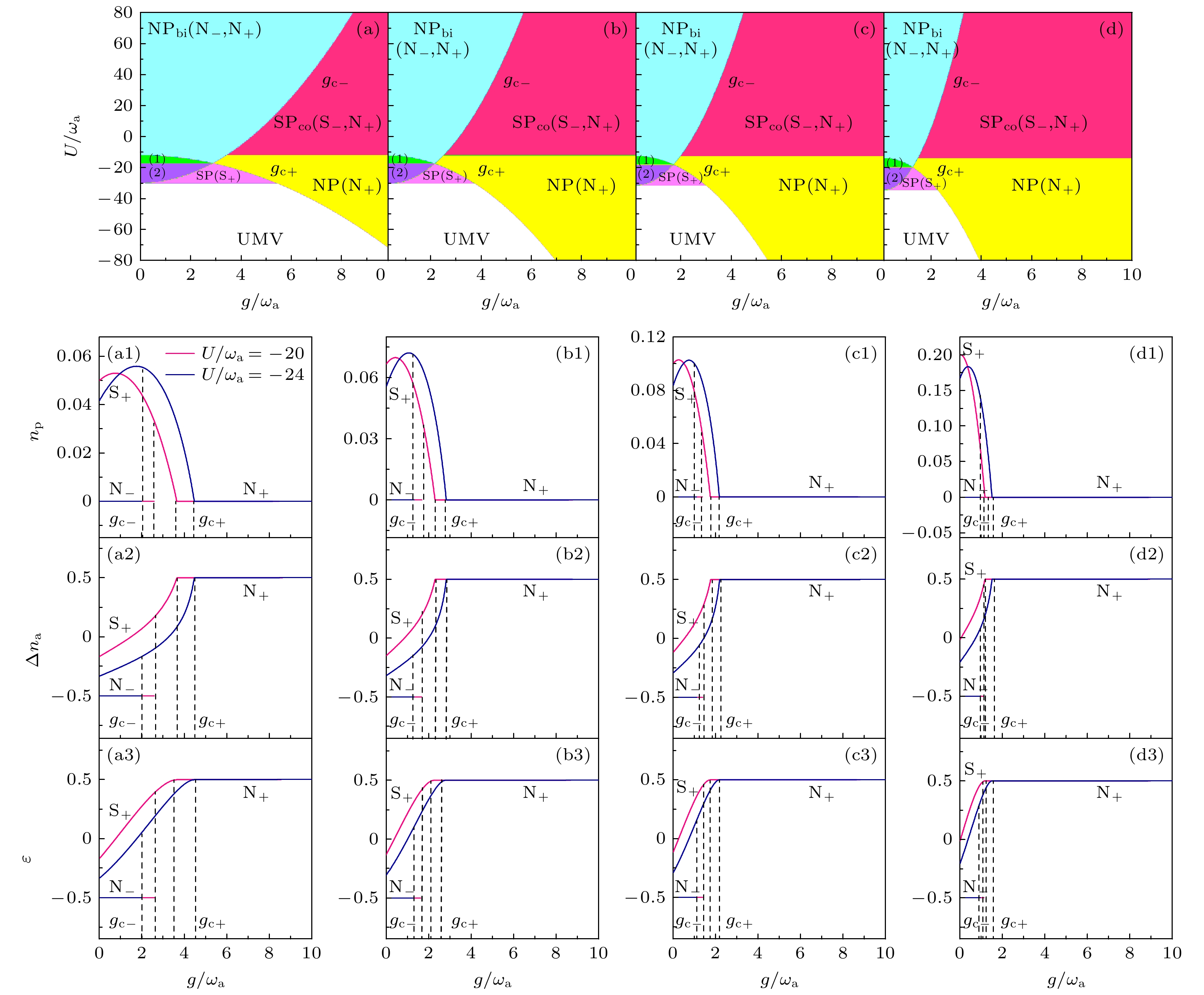
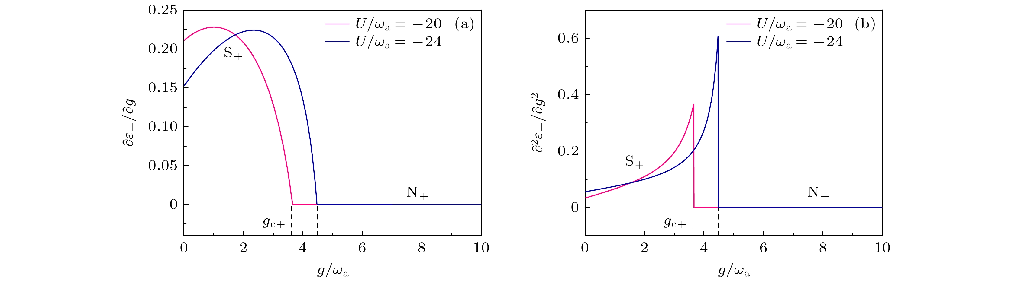
Quantum phase transition is an important subject in the field of quantum optics and condensed matter physics. In this work, we study the quantum phase transition of the two-mode Dicke model by using the nonlinear atom-light interaction introduced into the interaction between one mode light field and atom. The spin coherent variational method is used to study macroscopic multi-particle quantum systems. Firstly, the pseudo spin operator is diagonalized to obtain the variational fundamental state energy functional by means of spin coherent state transformation under the condition of coherent state light field. The energy functional is used to find the extreme value of the classical field variable, and the second derivative is determined to find the minimum value, and finally the exact solution of the ground state energy is given. Four different proportional relationships are used to study the two-mode optical field, and the rich structure of macroscopic multi-particle quantum states is given by adjusting atom-optical nonlinear interaction parameters under the experimental parameters. The abundant ground state properties such as bistable normal phase, coexisting normal-superradiation and atomic population inversion under blue and red detuning are presented. The nonlinear atom-light interaction causes blue detuning, and there is also a second-order quantum phase transition from the normal phase to the superradiation phase in the standard two-mode Dicke model. In the case of red detuning, a novel and stable reversed superradiation phase also appears. With the increase of the coupling coefficient, the reversed superradiation phase is transformed into the reversed normal phase. The nonlinear interaction between atoms and light and the different ratio of two modes of light field have great influence on the phase boundary of quantum phase transition, and the region of quantum state, as shown in Fig. (a)–(d). When the nonlinear interaction takes two definite values, the curve of the ground state physical parameters changing with the coupling parameters of atoms and light also reflects the novel second-order inverse quantum phase transition from the reversed superradiation phase to the reversed normal phase in red detuning, as shown in Fig. (a1)–(d3). -
Keywords:
- two-mode Dicke model/
- atomic-optical nonlinear interaction/
- quantum phase transition/
- spin coherent state method
[1] [2] [3] [4] [5] [6] [7] [8] [9] [10] [11] [12] [13] [14] [15] [16] [17] [18] [19] [20] [21] [22] [23] [24] [25] [26] [27] -
$ \varphi $ $ {\tan ^2}\varphi $ $ 1 + \tan \varphi $ $ {{{g_{{\text{c}} - }}}}/{{{\omega _{\text{a}}}}} $ $ {{{g_{{\text{c}} + }}}}/{{{\omega _{\text{a}}}}} $ a 0 0 1 $ \dfrac{1}{{\sqrt 3 }}\sqrt {\dfrac{{2 U}}{{{\omega _{\text{a}}}}} - 60} , \quad \dfrac{U}{{{\omega _{\text{a}}}}} \gt 30 $ $ \dfrac{1}{{\sqrt 3 }}\sqrt {60 - \dfrac{{5 U}}{{{\omega _{\text{a}}}}}} , \quad \dfrac{U}{{{\omega _{\text{a}}}}} \lt 12 $ b $ \dfrac{\pi }{6} $ $ \dfrac{1}{3} $ $ 1 + \dfrac{{\sqrt 3 }}{3} $ $ \dfrac{1}{{1 + \sqrt 3 }}\sqrt {\dfrac{{2 U}}{{{\omega _{\text{a}}}}} - 59} , \quad \dfrac{U}{{{\omega _{\text{a}}}}} \gt 29.5 $ $ \dfrac{1}{{1 + \sqrt 3 }}\sqrt {59 - \dfrac{{5 U}}{{{\omega _{\text{a}}}}}} , \quad \dfrac{U}{{{\omega _{\text{a}}}}} \lt 11.8 $ c $ \dfrac{\pi }{4} $ $ 1 $ 2 $ \dfrac{1}{{2\sqrt 3 }}\sqrt {\dfrac{{2 U}}{{{\omega _{\text{a}}}}} - 57} , \quad \dfrac{U}{{{\omega _{\text{a}}}}} \gt 28.5 $ $ \dfrac{1}{{2\sqrt 3 }}\sqrt {57 - \dfrac{{5 U}}{{{\omega _{\text{a}}}}}} , \quad \dfrac{U}{{{\omega _{\text{a}}}}} \lt 11.4 $ d $ \dfrac{{\text{π}}}{3} $ $ 3 $ $ 1 + \sqrt 3 $ $ \dfrac{1}{{3 + \sqrt 3 }}\sqrt {\dfrac{{2 U}}{{{\omega _{\text{a}}}}} - 51} , \quad \dfrac{U}{{{\omega _{\text{a}}}}} \gt 25.5 $ $ \dfrac{1}{{3 + \sqrt 3 }}\sqrt {51 - \dfrac{{5 U}}{{{\omega _{\text{a}}}}}} , \quad \dfrac{U}{{{\omega _{\text{a}}}}} \lt 10.2 $ $ \varphi $ $ \omega ' $ $ g' $ $ {g_{{\text{c}} - }}/{\omega _{\text{a}}} $ $ {\text{ }}U/{\omega _{\text{a}}} = 40 $ $ {\text{ }}U/{\omega _{\text{a}}} = 60 $ a 0 $ {\omega _1} $ $ g $ 2.59 4.48 b $ {{\text{π}}}/{6} $ $ {\omega _1} + \dfrac{{{\omega _2}}}{3} $ $ g \Big(1 + \dfrac{{\sqrt 3 }}{3}\Big) $ 1.68 2.87 c $ {{\text{π}}}/{4} $ $ {\omega _1} + {\omega _2} $ $ 2 g $ 1.38 2.30 d $ {{\text{π}}}/{3} $ $ {\omega _1} + 3{\omega _2} $ $ g(1 + \sqrt 3 ) $ 1.14 1.76 $ \varphi $ $ {g_{{\text{c}} - }}/{\omega _{\text{a}}} $ $ {g_{{\text{c}} + }}/{\omega _{\text{a}}} $ $ {U}/{{{\omega _{\text{a}}}}} ~\left( {\omega ' \lt 0} \right) $ a 0 $ \dfrac{1}{{\sqrt 3 }}\sqrt {60 + \dfrac{{2 U}}{{{\omega _{\text{a}}}}}} , {\text{ }}\dfrac{U}{{{\omega _{\text{a}}}}} \gt - 30 $ $ \dfrac{1}{{\sqrt 3 }}\sqrt { - 60 - \dfrac{{5 U}}{{{\omega _{\text{a}}}}}} , {\text{ }}\dfrac{U}{{{\omega _{\text{a}}}}} \lt - 12 $ $ 20 + \dfrac{{7 U}}{{6{\omega _{\text{a}}}}} \lt 0, {\text{ }}\dfrac{U}{{{\omega _{\text{a}}}}} \lt - 17.14 $ b $ \dfrac{{\text{π}}}{6} $ $ \dfrac{1}{{1 + \sqrt 3 }}\sqrt {61 + \dfrac{{2 U}}{{{\omega _{\text{a}}}}}} , {\text{ }}\dfrac{U}{{{\omega _{\text{a}}}}} \gt - 30.5 $ $ \dfrac{1}{{1 + \sqrt 3 }}\sqrt { - 61 - \dfrac{{5 U}}{{{\omega _{\text{a}}}}}} , {\text{ }}\dfrac{U}{{{\omega _{\text{a}}}}} \lt - 12.2 $ $ 20 + \dfrac{{7 U}}{{6{\omega _{\text{a}}}}} + \dfrac{1}{3} \lt 0, {\text{ }}\dfrac{U}{{{\omega _{\text{a}}}}} \lt - 17.43 $ c $ \dfrac{{\text{π}}}{4} $ $ \dfrac{1}{{2\sqrt 3 }}\sqrt {63 + \dfrac{{2 U}}{{{\omega _{\text{a}}}}}} , {\text{ }}\dfrac{U}{{{\omega _{\text{a}}}}} \gt - 31.5 $ $ \dfrac{1}{{2\sqrt 3 }}\sqrt { - 63 - \dfrac{{5 U}}{{{\omega _{\text{a}}}}}} , {\text{ }}\dfrac{U}{{{\omega _{\text{a}}}}} \lt - 12.6 $ $ 20 + \dfrac{{7 U}}{{6{\omega _{\text{a}}}}} + 1 \lt 0, {\text{ }}\dfrac{U}{{{\omega _{\text{a}}}}} \lt - 18 $ d $ \dfrac{{\text{π}}}{3} $ $ \dfrac{1}{{3 + \sqrt 3 }}\sqrt {69 + \dfrac{{2 U}}{{{\omega _{\text{a}}}}}} , {\text{ }}\dfrac{U}{{{\omega _{\text{a}}}}} \gt - 34.5 $ $ \dfrac{1}{{3 + \sqrt 3 }}\sqrt { - 69 - \dfrac{{5 U}}{{{\omega _{\text{a}}}}}} , {\text{ }}\dfrac{U}{{{\omega _{\text{a}}}}} \lt - 13.8 $ $ 20 + \dfrac{{7 U}}{{6{\omega _{\text{a}}}}} + 3 \lt 0, {\text{ }}\dfrac{U}{{{\omega _{\text{a}}}}} \lt - 19.71 $ $ \varphi $ $ {g_{{\text{c}} - }}/{\omega _{\text{a}}} $ $ {g_{{\text{c}} + }}/{\omega _{\text{a}}} $ $ {g_{{\text{c}} - }}/{\omega _{\text{a}}} = - 20 $ $ {g_{{\text{c}} - }}/{\omega _{\text{a}}} = - 24 $ $ \text{ }U/{\omega }_{\text{a}}=-20 $ $ \text{ }U/{\omega }_{\text{a}}=-24 $ a $ 0 $ 2.58 2.00 3.65 4.47 b $ {{\text{π}}}/{6} $ 1.68 1.32 2.29 2.81 c $ {{\text{π}}}/{4} $ 1.38 1.12 1.76 2.18 d $ {{\text{π}}}/{3} $ 1.14 0.97 1.18 1.51 $ \varphi $ $ {g_{{\text{c}} - }}/{\omega _{\text{a}}} $ $ {g_{{\text{c}} + }}/{\omega _{\text{a}}} $ $ \text{ }U/{\omega }_{\text{a}}=-14 $ $ \text{ }U/{\omega }_{\text{a}}=-16 $ $ \text{ }U/{\omega }_{\text{a}}=-14 $ $ \text{ }U/{\omega }_{\text{a}}=-16 $ a $ 0 $ 3.27 3.06 1.83 2.58 b $ {{\text{π}}}/{6} $ 2.10 1.97 1.10 1.60 c $ {{\text{π}}}/{4} $ 1.71 1.61 0.76 1.19 d $ {{\text{π}}}/{3} $ 1.35 1.29 0.21 0.70 -
[1] [2] [3] [4] [5] [6] [7] [8] [9] [10] [11] [12] [13] [14] [15] [16] [17] [18] [19] [20] [21] [22] [23] [24] [25] [26] [27]
Catalog
Metrics
- Abstract views:313
- PDF Downloads:18
- Cited By:0













DownLoad:






