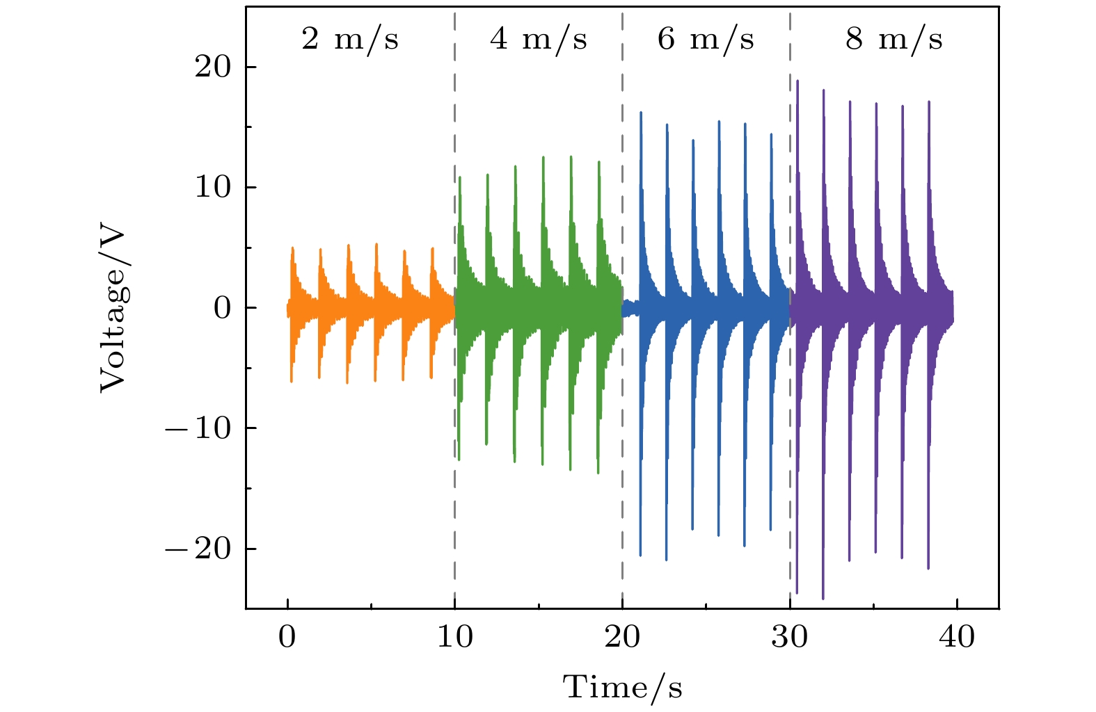
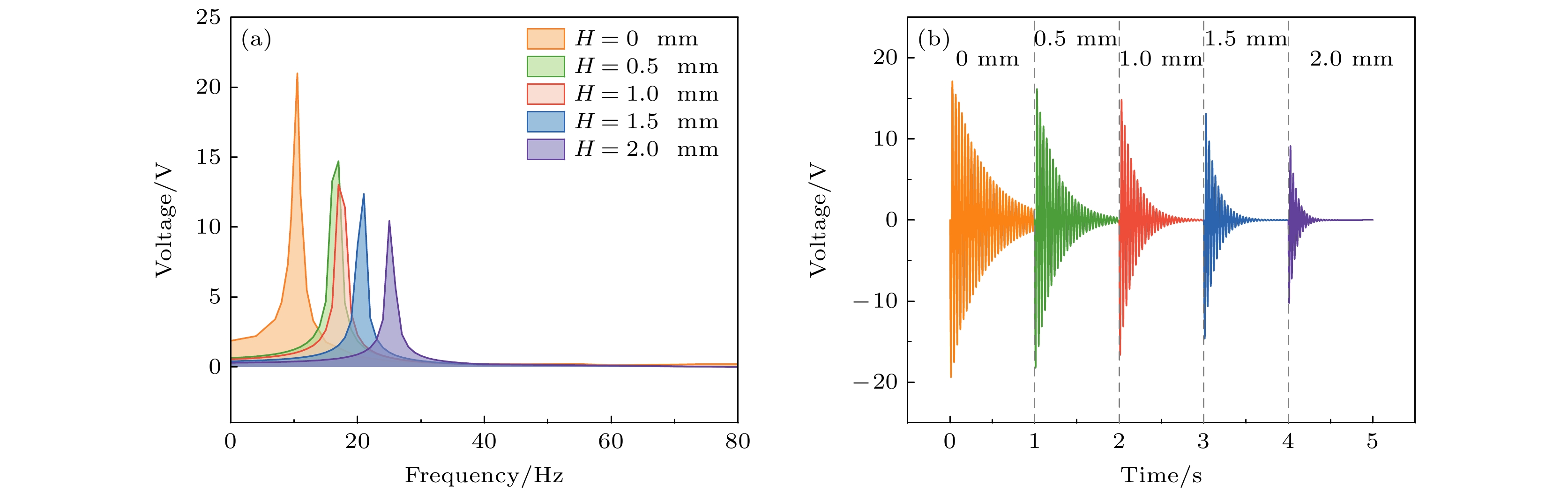
With the continuous growth of global demand for renewable energy, the utilization of rainwater resources has gradually become a focal point of research. Piezoelectric energy harvesting has received significant attention because the harvester has simple structure, high energy conversion efficiency, and self-powering capability. However, traditional piezoelectric energy harvesters are limited by the narrow resonance frequency bandwidth and the insufficient waterproofing ability, which restricts the adaptability of energy conversion to variable environmental excitations. To solve this problem, a broadband piezoelectric cantilever energy harvester for rainwater energy harvesting is designed in this work. The influence mechanisms of droplet impact parameters, waterproof encapsulation technology, and MFC cantilever structure on the electrical output performance are studied through theoretical analysis, numerical simulation, and experimental validation. It reveals that the droplet’s Weber number exhibits a direct proportionality with the impact force, which is distributed within the 0–80 Hz frequency range. Simulations and experimental results demonstrate that the U-shaped piezoelectric energy harvester significantly outperforms other designs in terms of broadening the resonant frequency range and extending oscillation duration, achieving an oscillation time of 23.7 s, a charge transfer of 2.82 μC, and an output power density of 37.76 W/m2 under a single impact. It demonstrates its efficient energy harvesting capability in a wide resonance frequency range. Additionally, the U-shaped design also improves its waterproof performance, thus further enhancing its applicability in rainwater environments. This study provides a novel, universally applicable approach for collecting rainwater energy, expands the application scenarios of piezoelectric energy harvesting technology, and provides theoretical references and practical guidance for designing and applying broadband energy harvesters.