| [1] |
PENG Zhigang, BAI Haojie, LIU Fang, LI Yang, HE Huan, LI Pei, HE Chaohui, LI Yonghong. Effect of proton cumulative radiation on saturation output in CMOS image sensors. Acta Physica Sinica,
2025, 74(2): 024203.
doi: 10.7498/aps.74.20241352
|
| [2] |
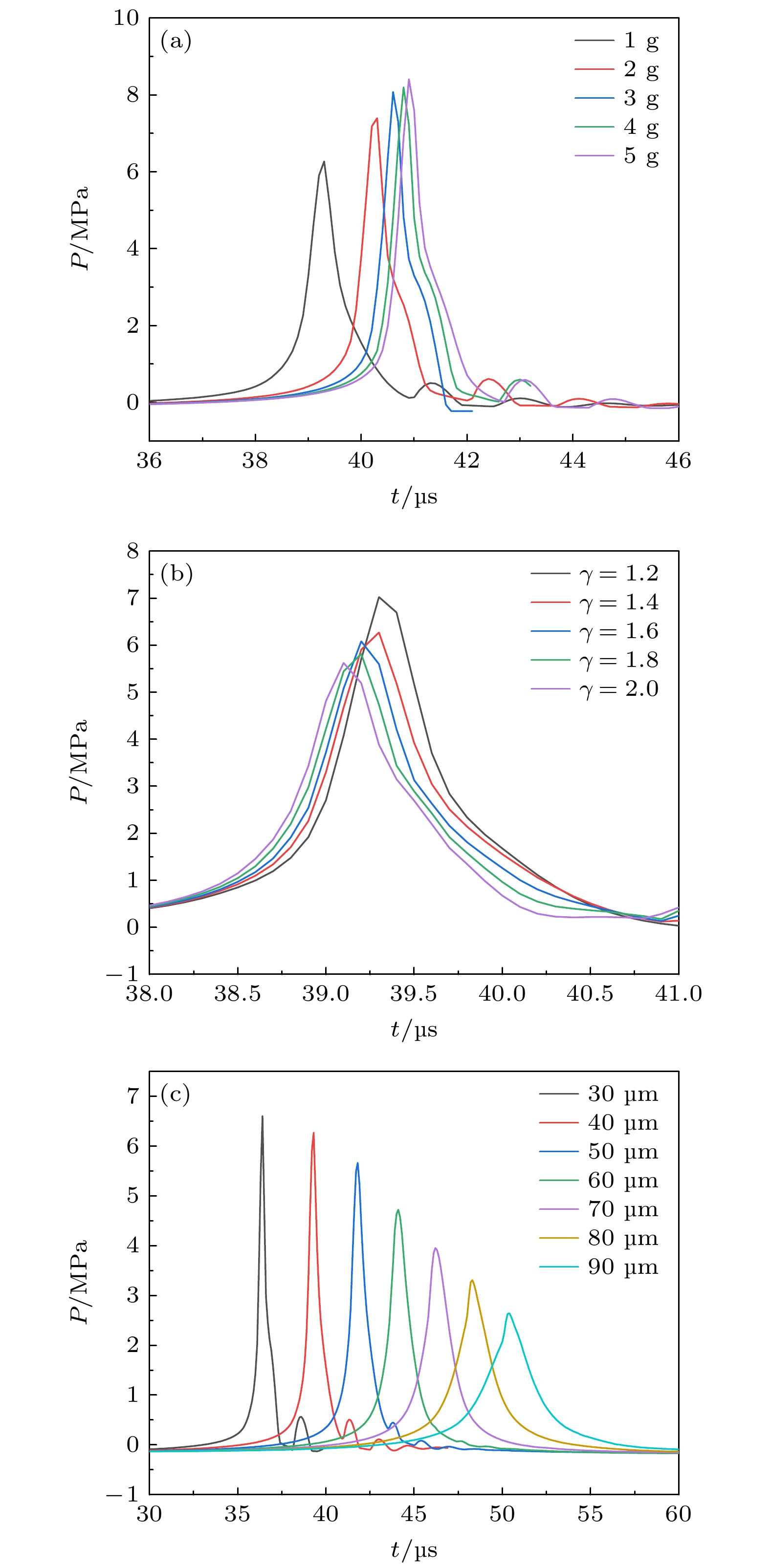
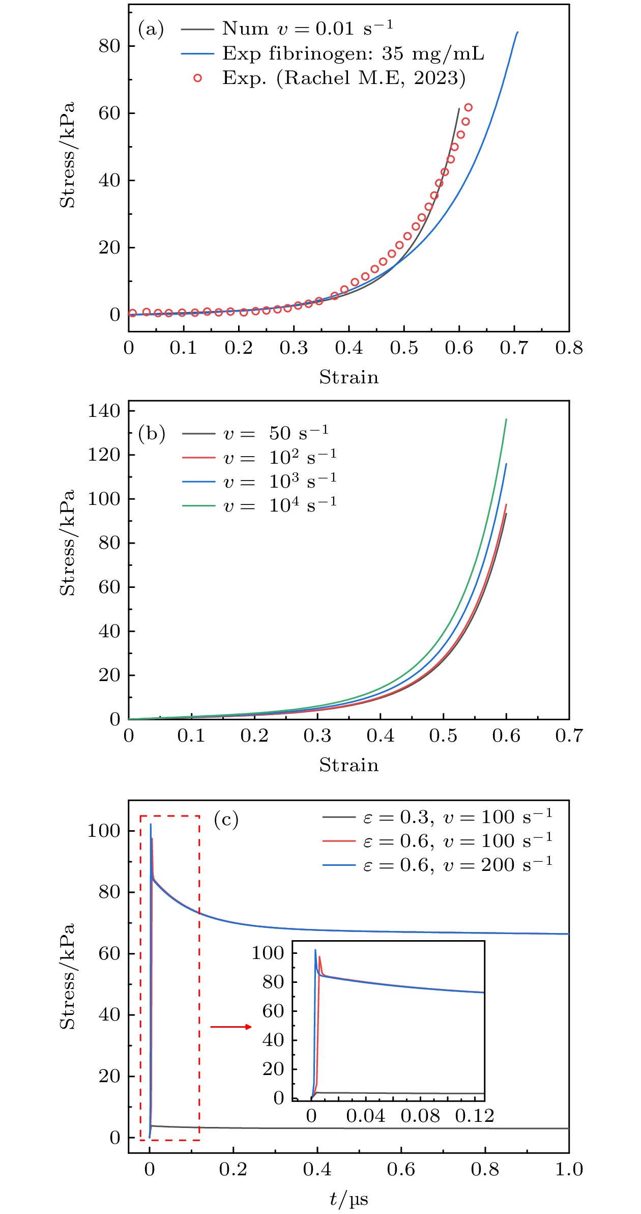
MO Fan, ZHANG Xiaomin, ZHAO Zhipeng, WU Qiong, ZHENG Chaochao, ZHANG Linlin, ZHAO Libo, CHENG Ke, LIU Shudong, TANG Ge. Numerical study of ultrasonic propagation and shock wave formation in concentration dependent fibrin clots. Acta Physica Sinica,
2025, 74(15): 156202.
doi: 10.7498/aps.74.20250555
|
| [3] |
Zou Xing, Zhu Zhe, Fang Wen-Xiao. Simulation of surface stress and solid solution modification phase field of nanowire electrocaloric effect. Acta Physica Sinica,
2024, 73(10): 100501.
doi: 10.7498/aps.73.20240105
|
| [4] |
Huang Chen-Yang, Li Fan, Tian Hua, Hu Jing, Chen Shi, Wang Cheng-Hui, Guo Jian-Zhong, Mo Run-Yang. Analysis of suppressive effect of large bubbles on oscillation of cavitation bubble in cavitation field. Acta Physica Sinica,
2023, 72(6): 064302.
doi: 10.7498/aps.72.20221955
|
| [5] |
Zhang Ying, Wu Wen-Hua, Wang Jian-Yuan, Zhai Wei. Mechanism of effect of stable cavitation on dendrite growth in ultrasonic field. Acta Physica Sinica,
2022, 71(24): 244303.
doi: 10.7498/aps.71.20221101
|
| [6] |
Song Ren-Jie, Yuan Zi-Yan, Zhang Qi, Yu Jie, Xue Hong-Hui, Tu Juan, Zhang Dong. Method of spatiotemporally monitoring acoustic cavitation based on radio frequency signal entropy analysis. Acta Physica Sinica,
2022, 71(17): 174301.
doi: 10.7498/aps.71.20220558
|
| [7] |
Qin Dui, Zou Qing-Qin, Li Zhang-Yong, Wang Wei, Wan Ming-Xi, Feng Yi. Acoustic cavitation of encapsulated microbubble and its mechanical effect in soft tissue. Acta Physica Sinica,
2021, 70(15): 154701.
doi: 10.7498/aps.70.20210194
|
| [8] |
Wang Peng, Shen Chi-Bing. Mixing enhancement for supersonic mixing layer by using plasma synthetic jet. Acta Physica Sinica,
2019, 68(17): 174701.
doi: 10.7498/aps.68.20190683
|
| [9] |
Qinghim, Naranmandula. Influence of large bubbles on cavitation effect of small bubbles in cavitation multi-bubbles. Acta Physica Sinica,
2019, 68(23): 234302.
doi: 10.7498/aps.68.20191198
|
| [10] |
Zhang Xiao-Shi, Xu Hao, Wang Cong, Lu Hong-Zhi, Zhao Jing. Experimental study on underwater supersonic gas jets in water flow. Acta Physica Sinica,
2017, 66(5): 054702.
doi: 10.7498/aps.66.054702
|
| [11] |
Wu Wen-Hua, Zhai Wei, Hu Hai-Bao, Wei Bing-Bo. Acoustic field and convection pattern within liquid material during ultrasonic processing. Acta Physica Sinica,
2017, 66(19): 194303.
doi: 10.7498/aps.66.194303
|
| [12] |
Wang Cheng-Hui, Mo Run-Yang, Hu Jing. Acoustic response of bubbles inside a cylindrical cavitationbubble cluster generated by low-frequency ultrasound. Acta Physica Sinica,
2016, 65(14): 144301.
doi: 10.7498/aps.65.144301
|
| [13] |
Guo Ce, Zhu Xi-Jing, Wang Jian-Qing, Ye Lin-Zheng. Velocity analysis for collapsing cavitation bubble near a rigid wall under an ultrasound field. Acta Physica Sinica,
2016, 65(4): 044304.
doi: 10.7498/aps.65.044304
|
| [14] |
Zhao Fu-Ze, Zhu Shao-Zhen, Feng Xiao-Hui, Yang Yuan-Sheng. Sound field simulation of ultrasonic processing to fabricate carbon nanotubes reinforced AZ91D composites. Acta Physica Sinica,
2015, 64(14): 144302.
doi: 10.7498/aps.64.144302
|
| [15] |
Lu Lu, Ji Hong-Fei, Guo Ge-Pu, Guo Xia-Sheng, Tu Juan, Qiu Yuan-Yuan, Zhang Dong. Ultrasonic enhancement of the porosity of alginate scaffold. Acta Physica Sinica,
2015, 64(2): 024301.
doi: 10.7498/aps.64.024301
|
| [16] |
Xiao Yao, Guo Hong-Xia, Zhang Feng-Qi, Zhao Wen, Wang Yan-Ping, Ding Li-Li, Fan Xue, Luo Yin-Hong, Zhang Ke-Ying. Synergistic effects of total ionizing dose on the single event effect sensitivity of static random access memory. Acta Physica Sinica,
2014, 63(1): 018501.
doi: 10.7498/aps.63.018501
|
| [17] |
Huang Jiam-Guo, Liu Dan-Qiu, Gao Zhu-Xiu, Li Hong-Wei, Cai Ming-Hui, Han Jian-Wei. Simulation of culmulated microimpacts of micro debris to solar cells and function degradation. Acta Physica Sinica,
2012, 61(2): 029601.
doi: 10.7498/aps.61.029601
|
| [18] |
Yao Tian-Liang, Liu Hai-Feng, Xu Jian-Liang, Li Wei-Feng. The largest Lyapunov exponent and the turbulent fluctuation of the time series from air turbulent jets. Acta Physica Sinica,
2012, 61(23): 234704.
doi: 10.7498/aps.61.234704
|
| [19] |
Lu Yi-Gang, Wu Xiong-Hui. Computational analysis of double-bubble ultrasonic cavitation. Acta Physica Sinica,
2011, 60(4): 046202.
doi: 10.7498/aps.60.046202
|
| [20] |
Yuan Xing-Qiu, Li Hui, Zhao Tai-Ze, Yu Guo-Yang, Guo Wen-Kang, Xu Ping. Numerical modeling of supersonic plasma jet. Acta Physica Sinica,
2004, 53(8): 2638-2643.
doi: 10.7498/aps.53.2638
|