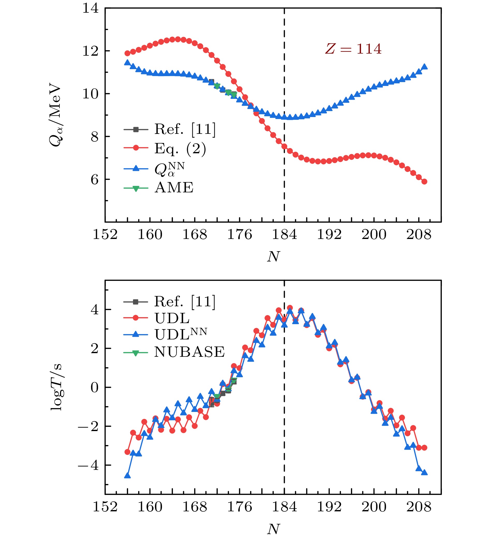
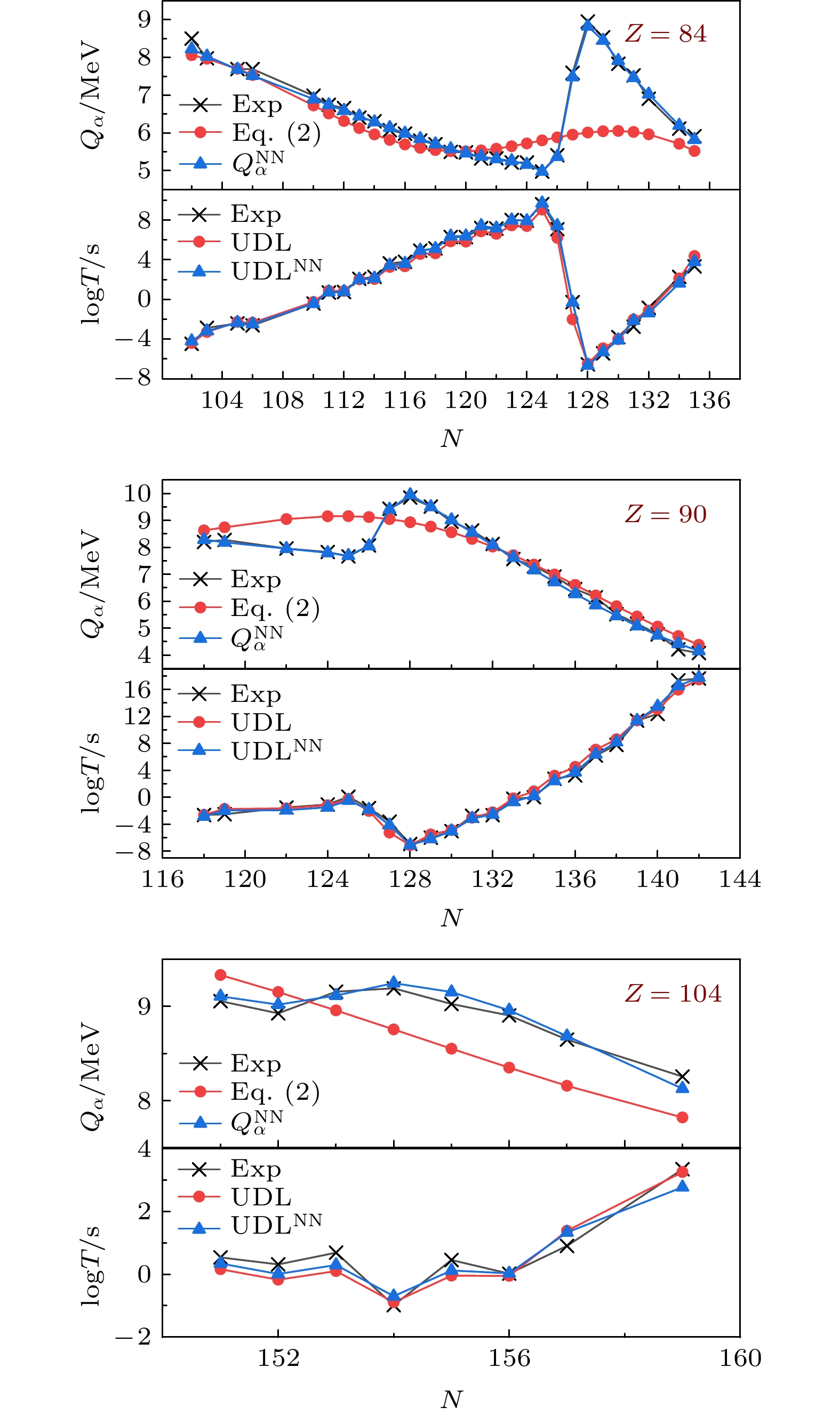
This study aims to develop a highly accurate method of predicting α-decay energy (Qα) of superheavy nuclei (SHN) and to identify the region of enhanced stability (the “island of stability”) based on α-decay properties. Improving the accuracy of Qα calculations is crucial for reliably predicting α-decay half-lives, which are essential for identifying newly synthesized superheavy elements.A modified liquid-drop model (LDM) formula for calculating Qα is proposed, eliminating explicit dependence on magic numbers to improve universality. However, the initial LDM formula alone yields a high root-mean-square deviation (RMSD) of 663.5 keV compared with experimental Qα values from the AME2016 database for 369 nuclei with Z ≥ 82. In order to significantly improve accuracy, a neural network (NN) method is combined with the LDM formula. For a feedforward backpropagation (BP) neural network with a 2-21-1 architecture (2 input neurons: proton number Z and mass number A; 21 hidden neurons; 1 output neuron), the correction term $ \text{δ}{{Q}}_{\text{α}} $ is developed. The network is trained using the Levenberg-Marquardt algorithm on a dataset of 369 nuclei (319 training, 50 validation). The final Qα prediction is given by $ Q_{\text{α}} ^{{\text{NN}}} = Q_{\text{α}} ^{{\text{Eq}}{\text{. (2)}}} + \delta Q_{\text{α}} ^{} $. The unified decay law (UDL) formula is then used to calculate α-decay half-lives (T1/2), with and without NN correction (denoted as UDL and UDLNN). The main results obtained are listed below.1) Improved Qα accuracy: The NN correction dramatically reduces the RMSD between calculated and experimental Qα values from 663.5 keV (LDM alone) to 89.2 keV.2) Capturing shell effects: Remarkably, although there is no explicit input of nuclear shell information, the NN-corrected Qα predictions clearly reproduce known shell structures, including the expected shell closure near N = 184 for superheavy nuclei. This is evident in the systematic lowering of predicted Qα values (implying increased stability) around the predicted doubly magic nucleus 298Fl (Z = 114, N = 184) and other known shell closures (e.g., N = 152, N = 162).3) Half-life predictions: Using the NN-corrected Qα in the UDL formula (UDLNN) further refines T1/2 predictions, reducing the RMSD from 0.631 (UDL alone) to 0.423. The method reliably reproduces experimental half-lives and shell-related features, such as a significant increase in T1/2 near shell closure (e.g. N = 126) and odd-A/odd-odd nuclei due to blocking effects.4) Validation: Predictions for recently synthesized neutron-deficient uranium isotopes 214,216,218U agree well with new experimental data of Qα and T1/2. Predictions for Fl isotopic chains also show good agreement with experimental trends.5) Stability island prediction: Maps of predicted Qα and T1/2 in the superheavy region consistently identify minimum value (indicating maximum stability) near the theoretically predicted doube magic nucleus 298Fl. A potential secondary stability center near Z = 126 and N = 228 is suggested, but further verification is needed. The longest predicted region of T1/2 coincides with the N = 184 shell closure.The conclusions drawn from the above findings are as follows. Integrating a neural network with a modified liquid-drop model formula provides a powerful and accurate method for predicting α-decay energies (Qα) of heavy and superheavy nuclei. The NN successfully learns and corrects complex shell effects implicitly, significantly improving prediction accuracy (RMSD reduced by ~85%). By combining the UDL formula, this method yields reliable α-decay half-lives. The results strongly confirm the existence and location of the predicted “island of stability” centered on the double magic nucleus 298Fl, providing valuable theoretical guidance for future experiments on the synthesis and identification of superheavy elements.