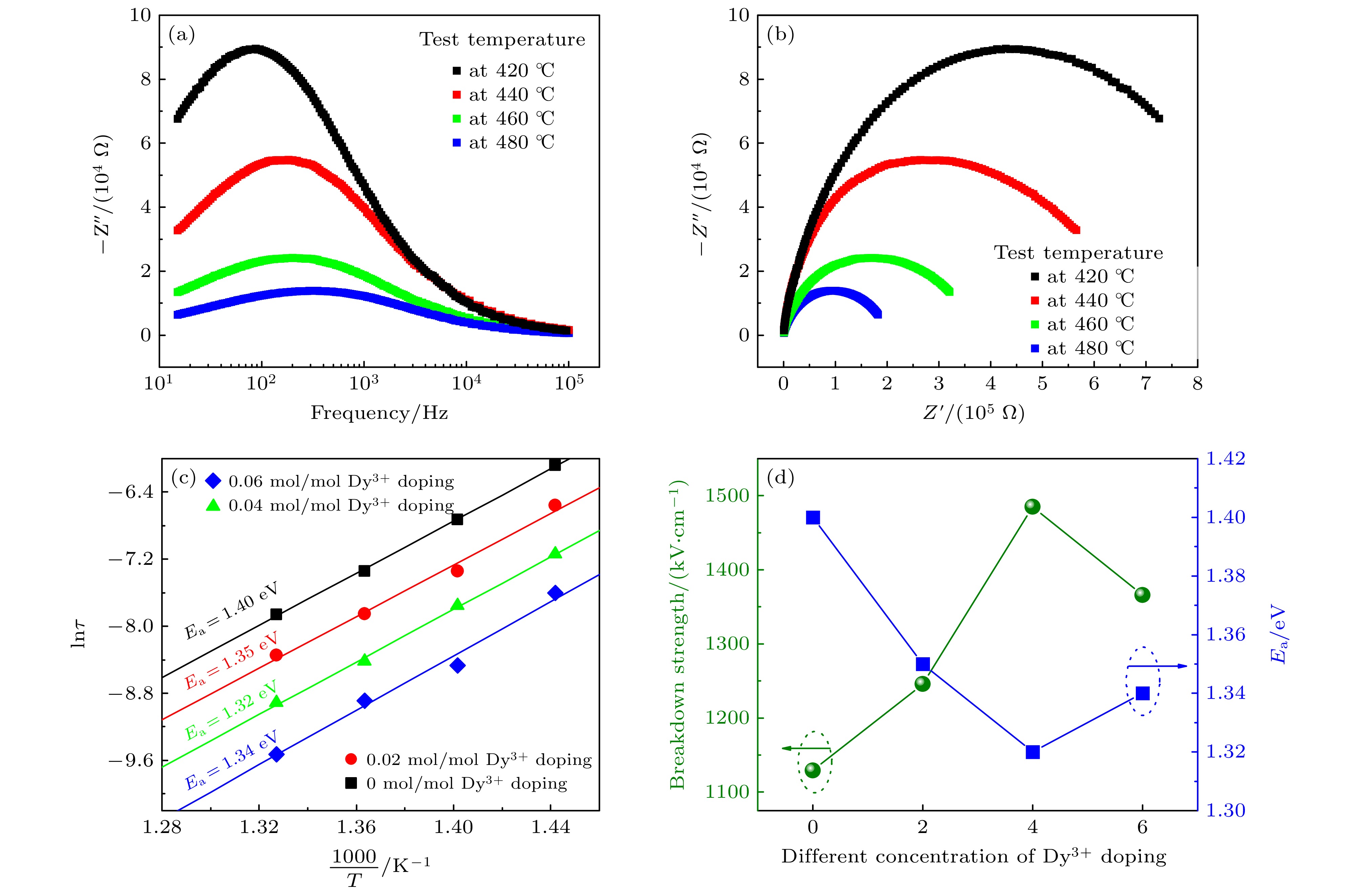
Dielectric glass ceramics that combine high power density and high energy density have important application value in achieving lightweight, miniaturization, and integration of pulse power devices. Compared with dielectric ceramics and polymers, dielectric glass-ceramics are composites consisting of a ceramic phase dispersed within a glass phase. Through the high-temperature melting, rapid cooling, and specific-temperature crystallization, the ceramic phase becomes uniformly distributed within the dense glass matrix, resulting in a composite structure characterized by low porosity, uniform grain size, and high density. Owing to the introduction of the high-dielectric-constant ceramic phase, the glass-ceramics exhibit excellent dielectric response. Furthermore, the pore-free, continuous, and highly insulating glass matrix effectively enhances the overall breakdown resistance of the material. Different molar concentrations of rare earth Dy3+ doped BaO-Na2O-Nb2O5 based glass ceramics are prepared using high-temperature melting combined with temperature-controlled crystallization process. The raw materials of glass ceramics are weighed according to the stoichiometric ratio and homogeneously mixed using a ball mill. The thoroughly mixed raw materials are placed in a high-temperature glass furnace and melted at 1550 ℃ for 2.5 h to ensure complete fusion. The melt is then rapidly cast into a preheated metal mold to obtain bulk glasses. These glasses are annealed at 650 ℃ for 3 h to relieve residual stresses. Subsequently, the transparent bulk glass blocks are cut into thin slices. Finally, these slices are heat-treated at 1100 ℃ for 3 h. Upon cooling, Dy3+ doped -based glass-ceramics with varying molar concentrations of the rare-earth ion are obtained. The effects of different molar concentrations of rare earth Dy3+ doping on the microstructure, crystallization behavior, and dielectric energy storage performance of BaO-Na2O-Nb2O5 based glass ceramics are systematically studied. The test results show that rare earth Dy3+ doping has almost no effect on the phase structure of BaO-Na2O-Nb2O5 based glass ceramics. Moderate rare earth Dy3+ doping can effectively promote the precipitation of Ba2NaNb5O15 ceramic phase in tungsten bronze structure, while improving the crystallinity of glass ceramics and increasing the dielectric constant of glass ceramics. In addition, rare earth Dy3+ doping also has the effect of inhibiting the growth of glass ceramic grains, which can improve the breakdown strength of BaO-Na2O-Nb2O5 based glass ceramics. When the rare earth Dy3+ doping molar concentration is 0.04 mol/mol, the dielectric constant of BaO-Na2O-Nb2O5 based glass ceramic is 97.0, the breakdown strength reaches 1485 kV/cm, and the highest energy storage density arrives at 8.01 J/cm3, which is 1.87 times that of undoped glass ceramics. This result provides experimental basis and technical reference for improving the performance of glass ceramic materials in the field of energy storage.