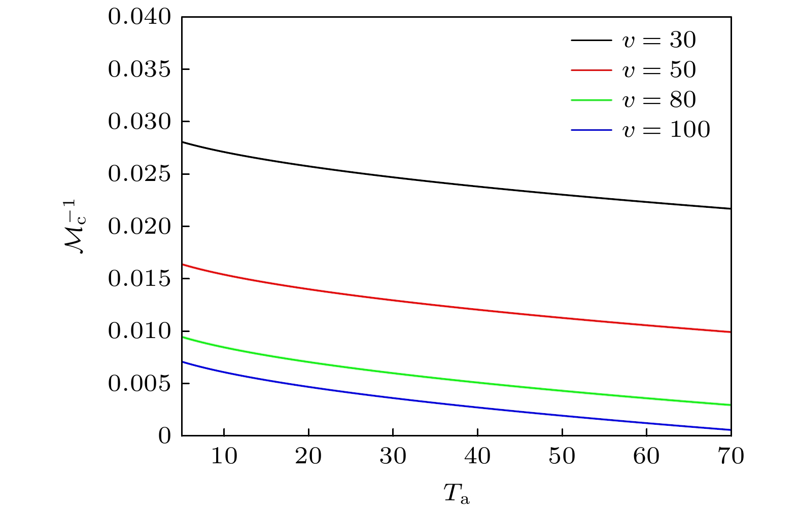
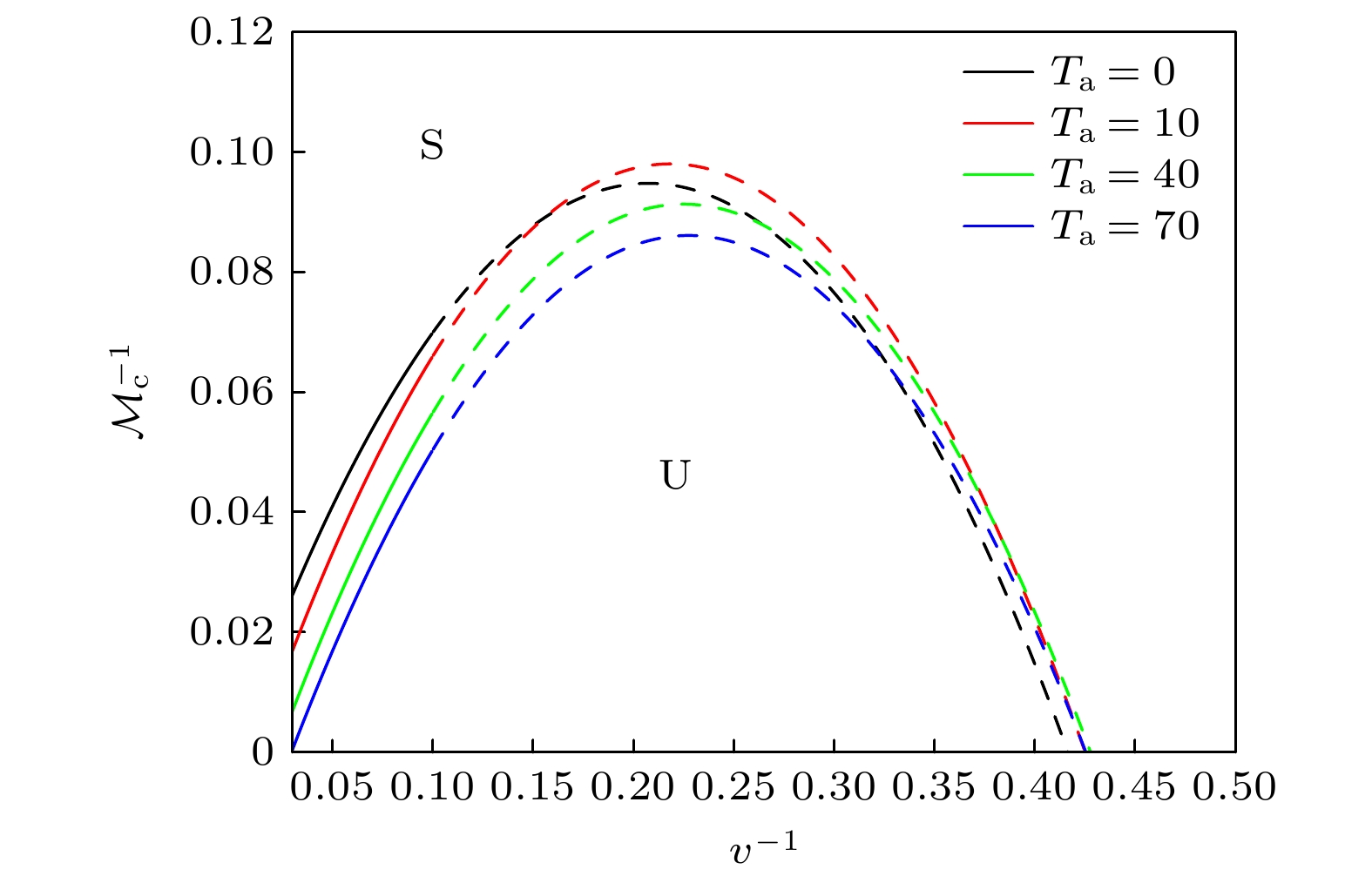
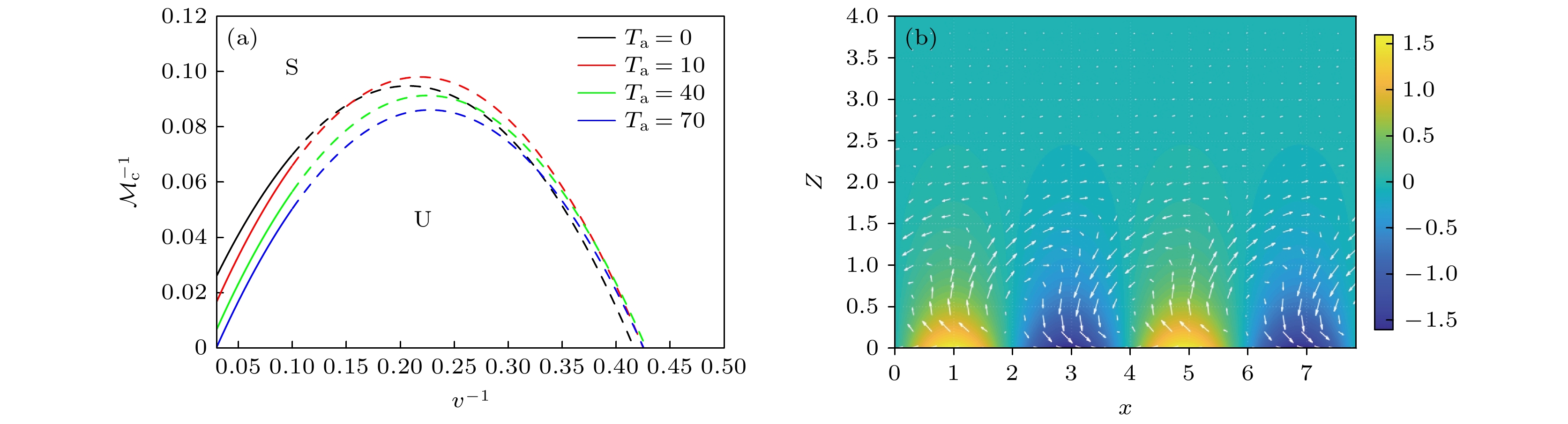
To address the persistent challenge of morphological instability during laser-based additive manufacturing (AM) of dilute alloys, the coupled effects of rotation and strong shear flow on the stability of the solid–liquid interface under rapid solidification conditions are systematically investigated in this work. A comprehensive multi-physics theoretical model is established based on linear stability analysis through introducing key dimensionless parameters: Taylor number (Ta), inverse Schmidt number (${\cal{R}}$), dimensionless surface energy (Γ), and a nonlinear shear velocity profile applied parallel to the interface. The model also accounts for the presence of a solute boundary layer. By solving the resulting perturbation equations, the growth rates of interface disturbances are obtained. The results reveal that strong shear flow markedly increases the critical morphological number, indicating enhanced interfacial stability. When rotation is introduced, the instability region in wavenumber space is significantly compressed, particularly at small wavenumbers, due to the Coriolis-induced stabilization. How the critical conditions vary with the increase of Ta and surface energy is shown in Fig. (a), while the instantaneous perturbation fields of concentration and velocity in the melt pool are exhibited in Fig. (b), where the Coriolis effect promotes symmetrical recirculation cells and suppresses disturbance penetration in the vertical direction. Moreover, the synergy of rotation and shear flow facilitates a more uniform solute distribution near the interface, mitigates compositional gradients, and supports the formation of ordered laminar flow structures. These effects contribute to suppressing constitutional undercooling and refine the microstructure. The model is dimensionless and universal, and key dimensionless groups reflect process inputs, such as solidification rate, thermal gradients, and material diffusivity. This work offers critical physical insights into rotation–flow coupling mechanisms in AM and provides a quantitative framework for optimizing process parameters to control microstructural evolution. These findings are particularly relevant to AM of symmetric components (e.g., axisymmetric gears or biomedical implants) where rotational auxiliary fields can be practically introduced.