-
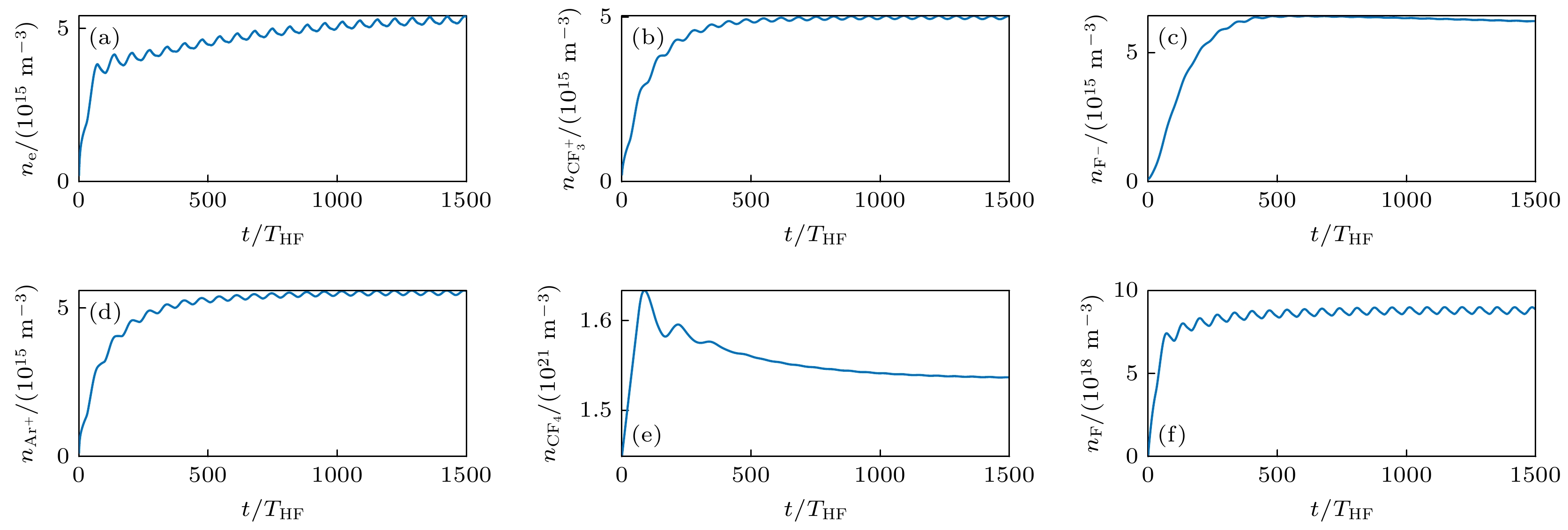
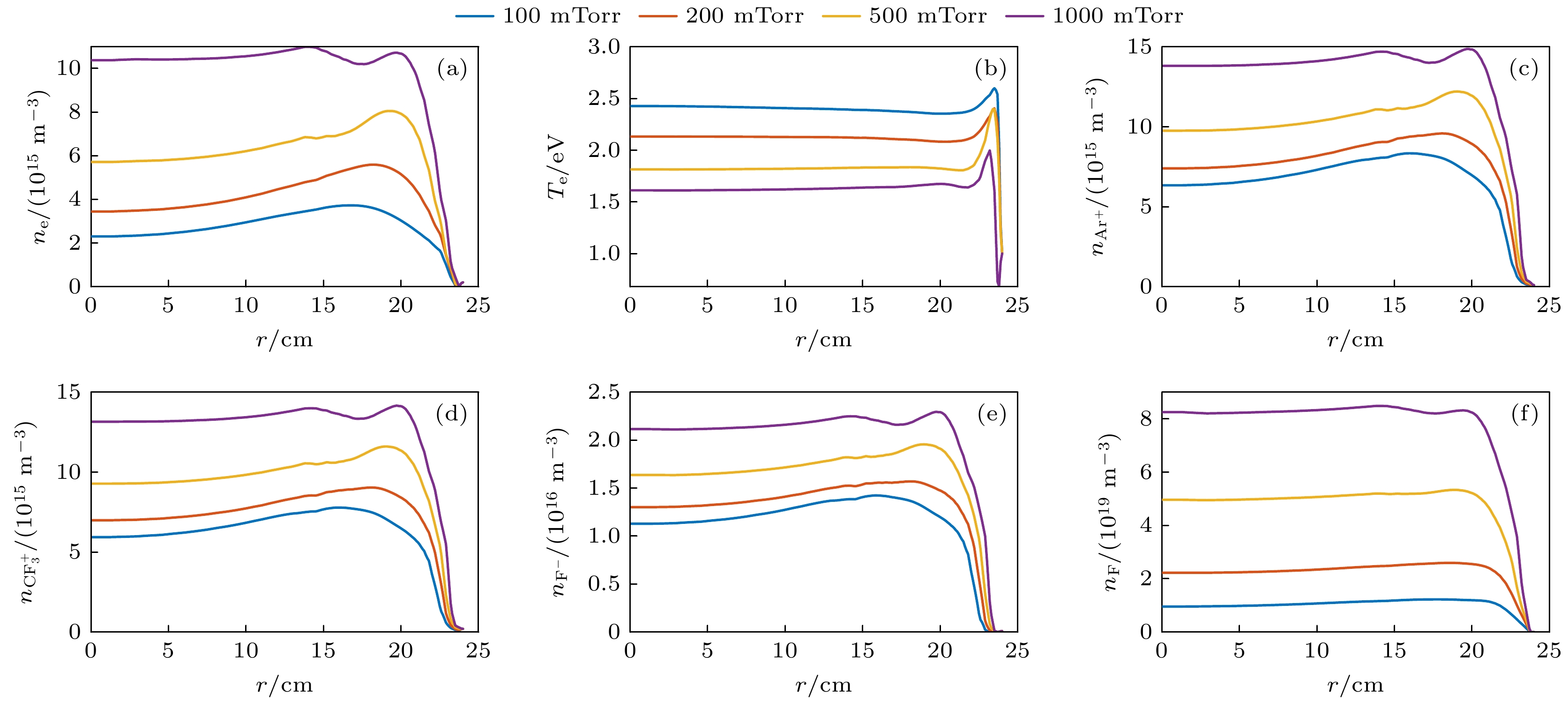
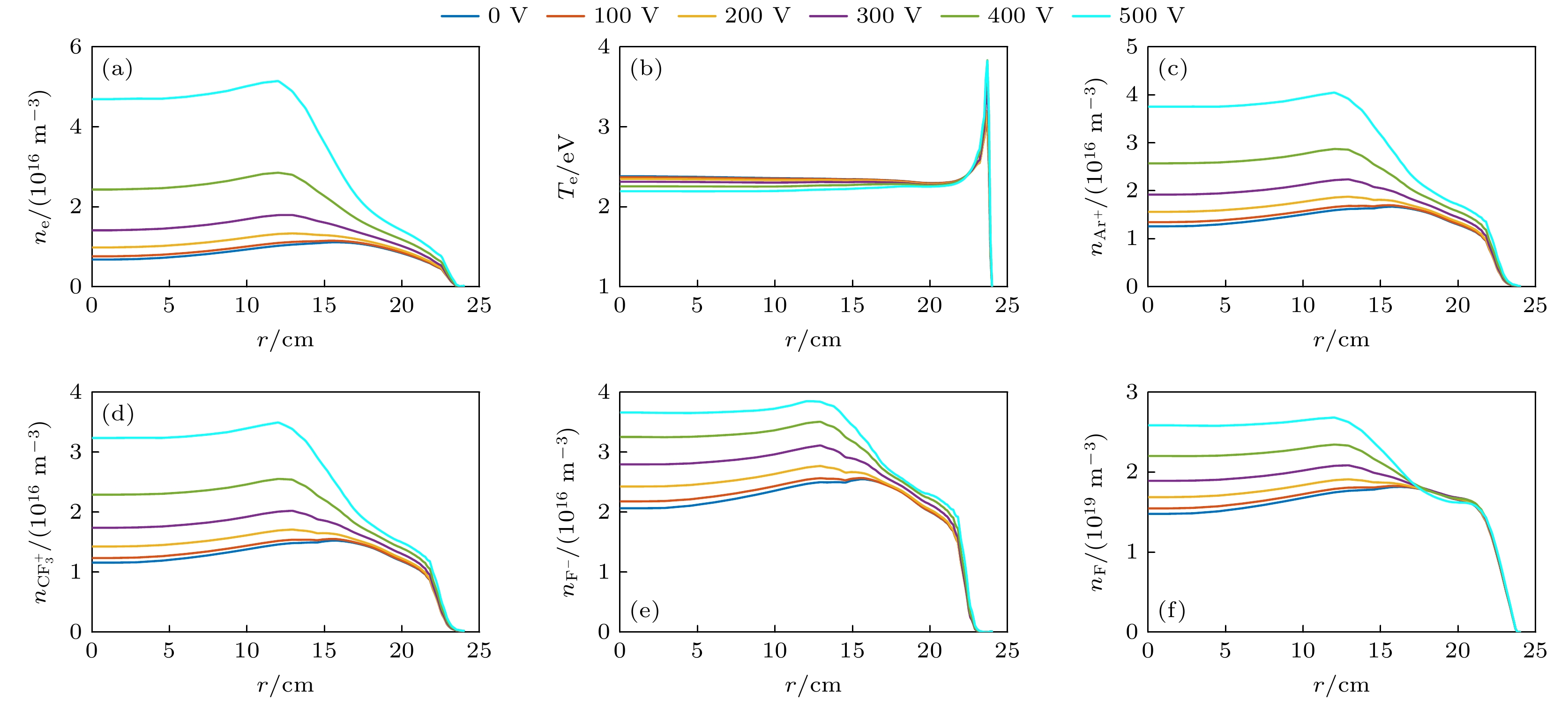
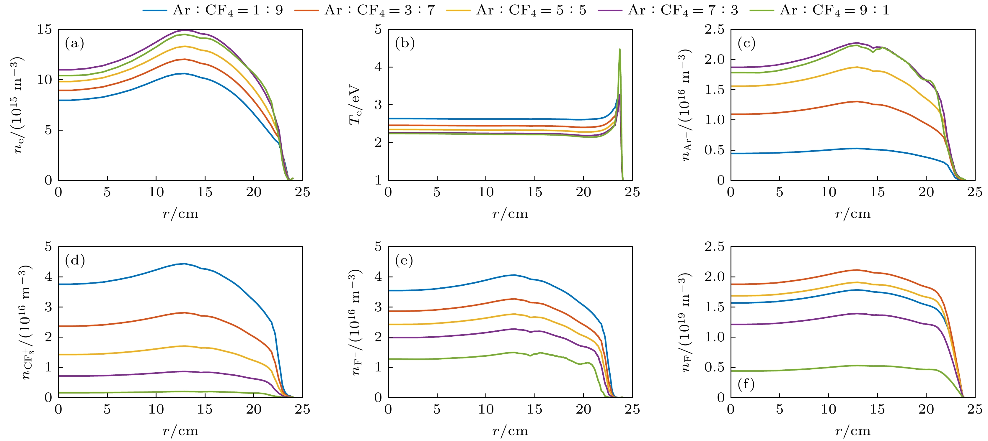
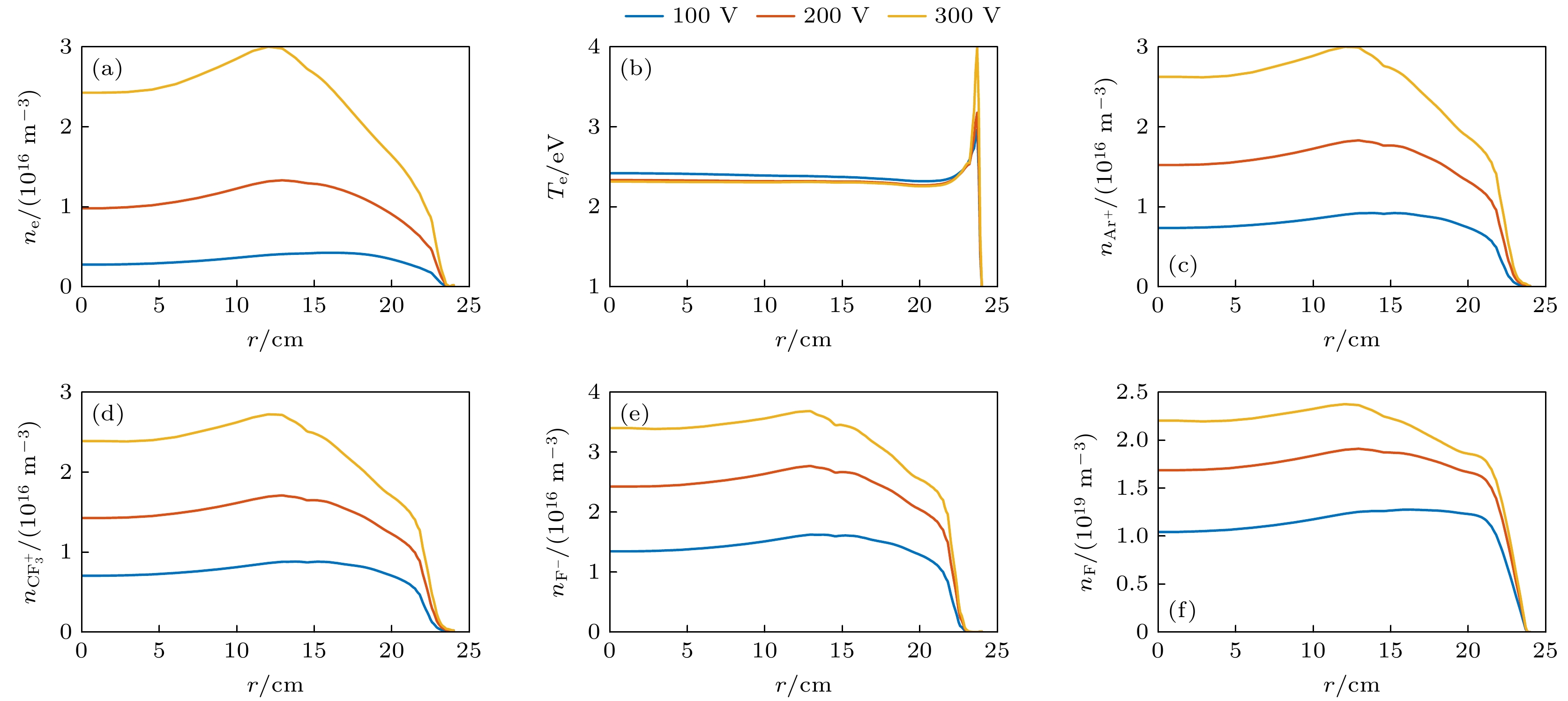
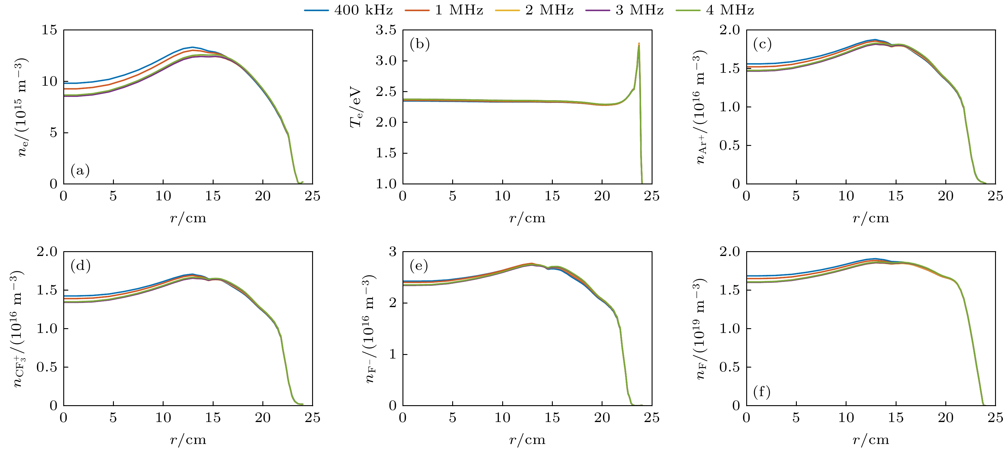
Capacitively coupled plasma sources, which are widely used in the etching and deposition processes of semiconductor manufacturing, have the advantages of simple structure, low cost, and the ability to generate large-area uniform plasma. To meet the requirements of advanced processes, fluid models are usually required to simulate plasma sources and optimize their important plasma parameters, such as density and uniformity. In this work, an independently-developed capacitively coupled plasma fast simulation program is employed to conduct three-dimensional fluid simulations of a dual-frequency capacitively coupled Ar/CF4 plasma source, with the aims of verifying the effectiveness of the program and investigating the influence of discharge parameters such as gas pressure, high and low-frequency voltages, low frequency, and background component ratios. The simulation results show that the program has an extremely high simulation speed. As the low-frequency voltage increases, the plasma density initially remains approximately constant and then significantly increases, while the plasma uniformity initially rises and then significantly decreases. In this process, the γ-mode heating of the low-frequency source increases and becomes the dominant mode in replace of the α-mode of high-frequency source. As the lower frequency increases, plasma density initially remains approximately constant and then slightly increases, while the plasma uniformity does not change much. this is because the γ-mode heating is frequency independent, while the α-mode heating is much lower than high-frequency source. As the high-frequency voltage increases, the plasma density significantly increases, while the plasma uniformity initially rises and then significantly decreases, the α-mode heating of high-frequency source is significantly enhanced in this process. As the pressure increases, the plasma density significantly increases, and the plasma uniformity also rises significantly, the reason is the more complete collision between particles and background gases. As the Ar ratio in background gases increases, the plasma density changes slightly, the density of Ar-related particles generally increases and the density of CF4-related particles generally decreases, although there are some non-monotonic changes in particle densities, which reflects the mutual promotion between some ionization and dissociation reactions.
-
Keywords:
- capacitively coupled plasma /
- three-dimensional fluid model /
- numerical simulation /
- plasma uniformity
[1] [2] [3] [4] [5] [6] [7] [8] [9] [10] [11] [12] [13] [14] [15] [16] [17] [18] [19] [20] [21] [22] -
编号 反应表达式 文献 编号 反应表达式 文献 1 e + Ar → e + Ar [19] 39 e + CF4 → CF3 + F– [19] 2 Ar+ + Ar → Ar+ + Ar [19] 40 $\rm e + CF_4 \to CF_3^- + F $ [19] 3 $\rm CF_3^+ + Ar \to CF_3^+ + Ar $ [19] 41 F– + CF3 → e + CF4 [19] 4 $\rm CF_2^+ + Ar \to CF_2^+ + Ar $ [19] 42 F– + CF2 → e + CF3 [19] 5 CF+ + Ar → CF+ + Ar [19] 43 F– + CF → e + CF2 [19] 6 F+ + Ar → F+ + Ar [19] 44 F– + F → e + F2 [19] 7 F– + Ar → F– + Ar [19] 45 $\rm CF_3^- + CF_3^+ \to 2CF_3 $ [19] 8 $\rm CF_3^- + Ar \to CF_3^- + Ar $ [19] 46 $\rm F^- + CF_3^+ \to CF_3 + F $ [19] 9 Ar* + Ar → Ar* + Ar [19] 47 $\rm F^ + CF_3^+ \to CF_2 + F_2 $ [19] 10 CF3 + Ar → CF3 + Ar [19] 48 $\rm F^- + CF_2^+ \to CF_2 + F $ [19] 11 CF2 + Ar → CF2 + Ar [19] 49 $\rm F^- + CF_2^+ \to CF + F_2 $ [19] 12 CF + Ar → CF + Ar [19] 50 F– + CF+ → CF + F [19] 13 F2 + Ar → F2 + Ar [19] 51 F– + F+ → 2F [19] 14 F + Ar → F + Ar [19] 52 $\rm CF_3^- + CF_2^+ \to CF_3 + CF_2 $ [19] 15 e + CF4 → e + CF4 [19] 53 $\rm CF_3^- + CF^+ \to CF_3 + CF $ [19] 16 Ar+ + CF4 → Ar+ + CF4 [19] 54 $\rm CF_3^- + F^+ \to CF_3 + F $ [19] 17 $\rm CF_3^+ + CF_4 \to CF_3^+ + CF_4 $ [19] 55 $\rm CF_2^+ + CF_3 \to CF_3^+ + CF_2 $ [19] 18 $\rm CF_2^+ + CF_4 \to CF_2^+ + CF_4 $ [19] 56 $\rm CF^+ + CF_3 \to CF_3^+ + CF $ [19] 19 CF+ + CF4 → CF+ + CF4 [19] 57 $\rm CF^+ + CF_2 \to CF_2^+ + CF $ [19] 20 F+ + CF4 → F+ + CF4 [19] 58 F + CF3 → CF4 [19] 21 F– + CF4 → F– + CF4 [19] 59 F + CF2 → CF3 [19] 22 $\rm CF_3^- + CF_4 \to CF_3^- + CF_4 $ [19] 60 F + CF → CF2 [19] 23 Ar* + CF4 → Ar* + CF4 [19] 61 F2 + CF3 → CF4 + F [19] 24 CF3 + CF4 → CF3 + CF4 [19] 62 F2 + CF2 → CF3 + F [19] 25 CF2 + CF4 → CF2 + CF4 [19] 63 $\rm CF_3^- + F\to CF_3 + F^- $ [19] 26 CF + CF4 → CF + CF4 [19] 64 e + Ar → 2e + Ar+ [20] 27 F2 + CF4 → F2 + CF4 [19] 65 e + Ar → e + Ar* [20] 28 F + CF4 → F + CF4 [19] 66 e + Ar* → 2e + Ar+ [20] 29 Ar + Ar → Ar + Ar [19] 67 Ar* + Ar* → e + Ar + Ar+ [20] 30 CF4 + CF4 → CF4 + CF4 [19] 68 Ar* + CF2 → Ar + CF + F [21] 31 Ar + CF4 → Ar + CF4 [19] 69 Ar* + CF3 → Ar + CF2 + F [21] 32 e + CF4 → e + CF3 + F [19] 70 Ar* + CF4 → Ar + CF2 + F2 [21] 33 e + CF4 → e + CF2 + 2F [19] 71 Ar+ + CF2 → Ar + CF+ + F [21] 34 e + CF4 → e + CF + 3F [19] 72 $\rm Ar^+ + CF_3 \to Ar + CF_2^+ + F $ [21] 35 $\rm e + CF_4 \to 2e + CF_3^+ + F $ [19] 73 $\rm Ar^+ + CF_4 \to Ar + CF_3^+ + F $ [22] 36 $\rm e + CF_4 \to 2e + CF_2^+ + 2F $ [19] 74 $\rm Ar^+ + CF_3^- \to Ar + CF_3 $ [21] 37 e + CF4 → 2e + CF+ + 3F [19] 75 Ar+ + F– → Ar + F [21] 38 e + CF4 → 2e + CF3 + F+ [19] 76 $\rm CF_3^+ + Ar\to CF_3 + Ar^+ $ [21] -
[1] [2] [3] [4] [5] [6] [7] [8] [9] [10] [11] [12] [13] [14] [15] [16] [17] [18] [19] [20] [21] [22]
Catalog
Metrics
- Abstract views: 1031
- PDF Downloads: 88
- Cited By: 0









DownLoad: