-
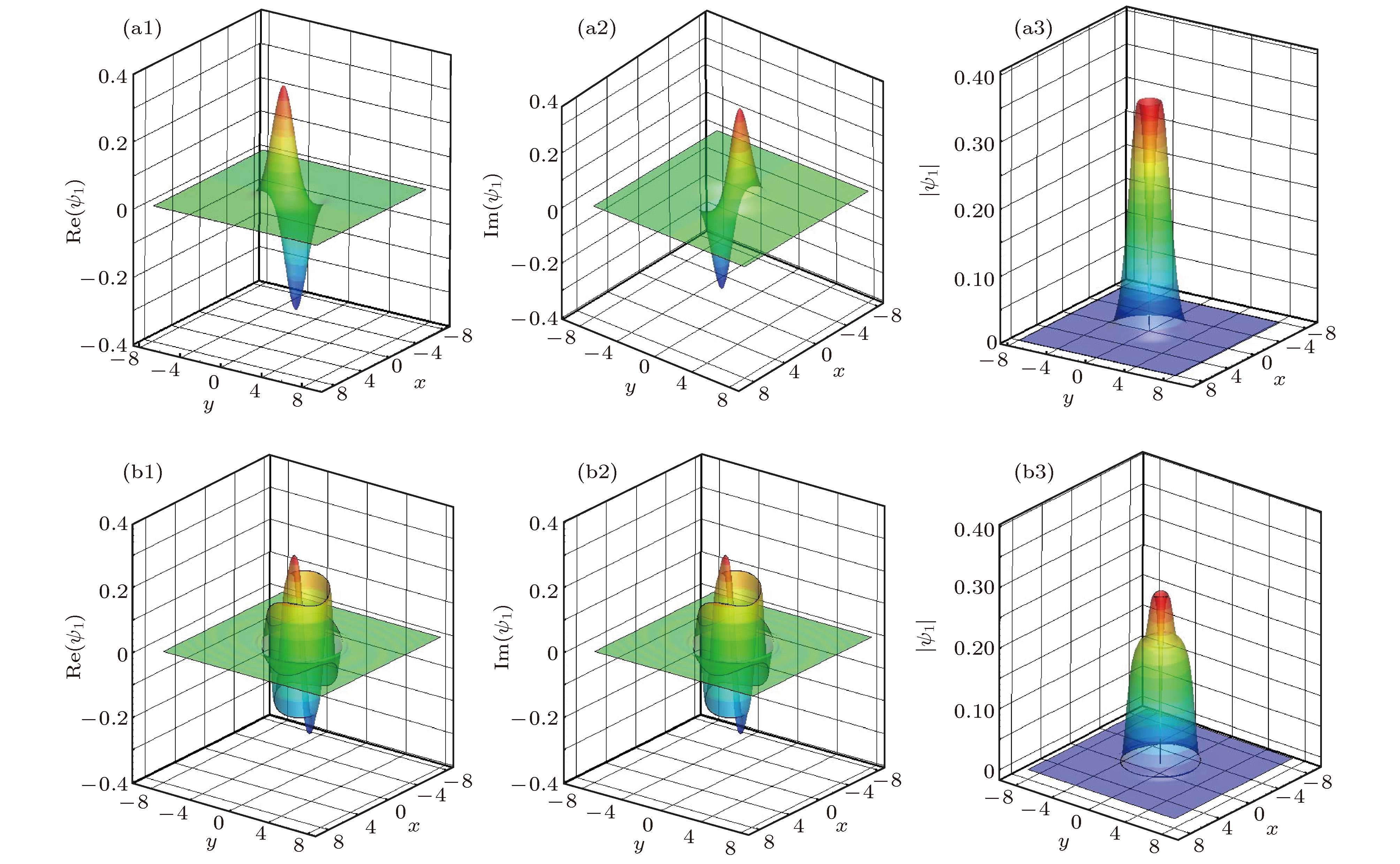
在提出一种基于时间分裂格式的纯无网格有限点集(split-step finite pointset method, SS-FPM)法的基础上, 数值模拟了含孤立波的二维非线性薛定谔 (nonlinear Schrödinger, NLS) / (Gross-Pitaevskii, GP) 方程. SS-FPM的构造过程为: 1) 基于时间分裂的思想将非线性薛定谔方程分成线性导数项和非线性项; 2) 采用基于Taylor展开和加权最小二乘法的有限点集法, 借助Wendland权函数, 对线性导数项进行数值离散. 随后, 模拟了带有Dirichlet和周期性边界条件的NLS方程, 将所得结果与解析解做对比. 数值结果表明: 给出的SS-FPM粒子法的优点是在粒子分布非均匀情况下仍具有近似二阶精度, 且较网格类有限差分算法实施容易, 较已有改进的光滑粒子动力学方法计算误差小. 最后, 运用SS-FPM对无解析解的二维周期性边界NLS方程和Dirichlet边界玻色-爱因斯坦凝聚二分量GP方程进行了数值预测, 并与其他数值结果进行对比, 准确展现了非线性孤立波奇异性现象和量子化涡旋过程.
-
关键词:
- 非线性孤立波/
- 有限点集法/
- 分裂格式/
- Gross-Pitaevskii方程
In this paper, a split-step finite pointset method (SS-FPM) is proposed and applied to the simulation of the nonlinear Schrödinger/Gross-Pitaevskii equation (NLSE/GPE) with solitary wave solution. The motivation and main idea of SS-FPMisas follows. 1) The nonlinear Schrödinger equation is first divided into the linear derivative term and the nonlinear term based on the time-splitting method. 2) The finite pointset method (FPM) based on Taylor expansion and weighted least square method is adopted, and the linear derivative term is numerically discretized with the help of Wendland weight function. Then the two-dimensional (2D) nonlinear Schrödinger equation with Dirichlet and periodic boundary conditions is simulated, and the numerical solution is compared with the analytical one. The numerical results show that the presented SS-FPM has second-order accuracy even if in the case of non-uniform particle distribution, and is easily implemented compared with the FDM, and its computational error is smaller than those in the existed corrected SPH methods. Finally, the 2D NLS equation with periodic boundary and the two-component GP equation with Dirichlet boundary and outer rotation BEC, neither of which has an analytical solution, are numerically predicted by the proposed SS-FPM. Compared with other numerical results, our numerical results show that the SS-FPM can accurately display the nonlinear solitary wave singularity phenomenon and quantized vortex process.-
Keywords:
- nonlinear solitary wave/
- finite pointset method/
- splitting scheme/
- Gross-Pitaevskii equation
[1] [2] [3] [4] [5] [6] [7] [8] [9] [10] [11] [12] [13] [14] [15] [16] [17] [18] [19] [20] [21] [22] [23] [24] [25] [26] [27] -
t 均匀分布/10–4 非均匀分布/10–4 0.5 2.48 3.22 1.0 4.94 6.12 1.5 7.40 9.26 2.0 9.88 16.50 粒子间距 误差 收敛阶 SS-ICPSPH ${\lambda _0} = {\text{π}}/32$ 8.99×10–2 ${\lambda _0} = {\text{π}}/64$ 2.23×10–3 2.007 ${\lambda _0} = {\text{π}}/128$ 5.52×10–4 2.017 SS-FDM ${\lambda _0} = {\text{π}}/16$ 2.016×10–2 ${\lambda _0} = {\text{π}}/32$ 5.045×10–3 1.9986 ${\lambda _0} = {\text{π}}/64$ 1.262×10–3 1.9997 FPM ${\lambda _0} = {\text{π}}/32$ 4.6×10–3 ${\lambda _0} = {\text{π}}/64$ 1.35×10–3 1.768 ${\lambda _0} = {\text{π}}/128$ 3.86×10–4 1.806 SS-FPM ${\lambda _0} = {\text{π}}/32$ 3.95×10–3 ${\lambda _0} = {\text{π}}/64$ 9.88×10–4 2.000 ${\lambda _0} = {\text{π}}/128$ 2.46×10–4 2.006 粒子间距 误差/× 10–4 收敛阶 SS-ICPSPH ${\lambda _0} = {\text{π}}/32$ 75.530 ${\lambda _0} = {\text{π}}/64$ 18.280 2.046 ${\lambda _0} = {\text{π}}/128$ 4.316 2.082 SS-FDM ${\lambda _0} = {\text{π}}/32$ 24.670 ${\lambda _0} = {\text{π}}/64$ 6.634 1.895 ${\lambda _0} = {\text{π}}/128$ 1.725 1.943 SS-FPM ${\lambda _0} = {\text{π}}/32$ 67.840 ${\lambda _0} = {\text{π}}/64$ 16.790 2.015 ${\lambda _0} = {\text{π}}/128$ 4.128 2.024 -
[1] [2] [3] [4] [5] [6] [7] [8] [9] [10] [11] [12] [13] [14] [15] [16] [17] [18] [19] [20] [21] [22] [23] [24] [25] [26] [27]
计量
- 文章访问数:6780
- PDF下载量:68
- 被引次数:0












下载:




