-
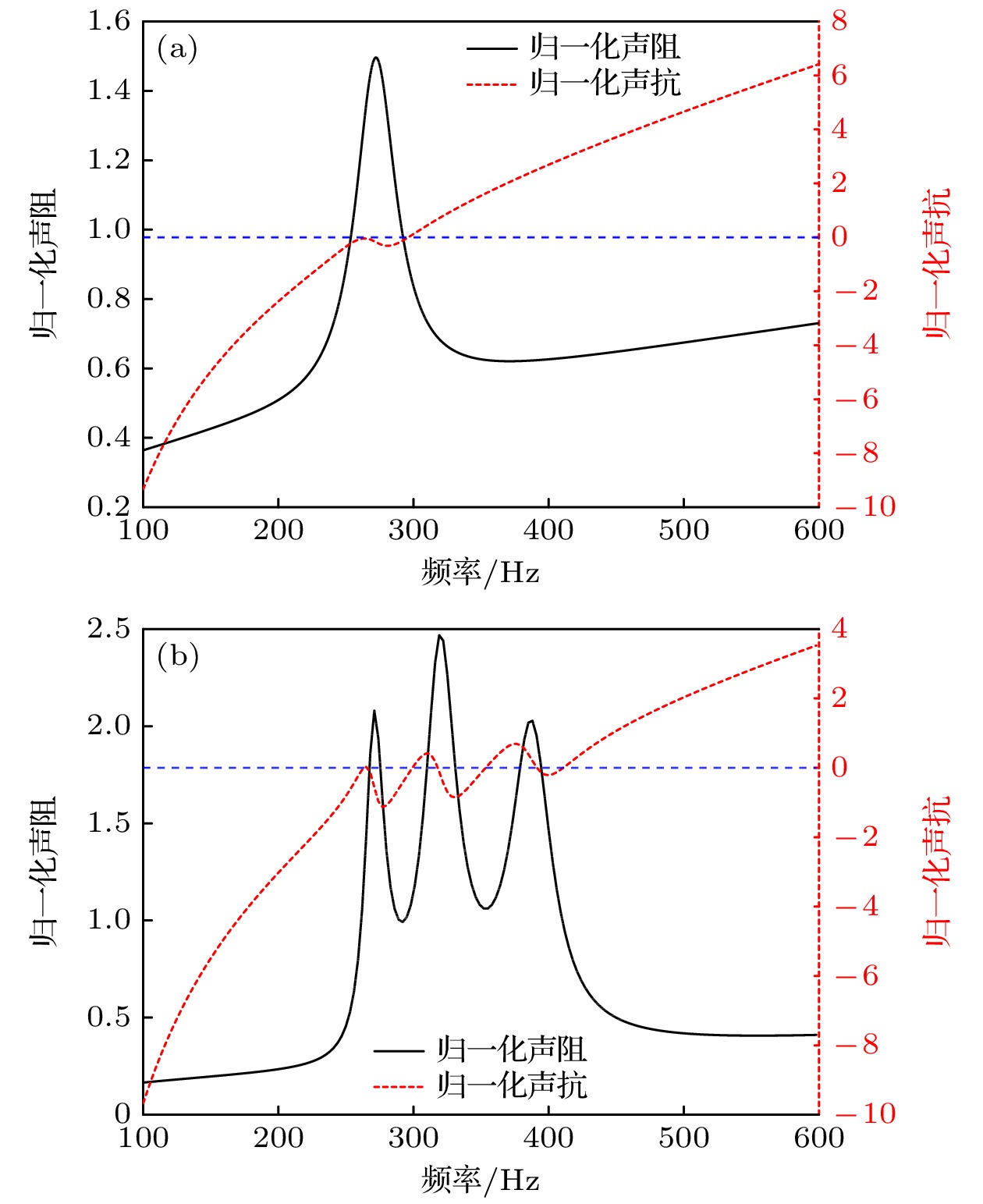
低频噪声一直是噪声控制领域比较棘手的问题, 近年来吸声超结构的蓬勃发展为低频噪声控制提供了新理念. 本文提出了一种内插缝Helmholtz共振腔吸声超结构, 建立了其吸声特性计算的理论解析方法, 并与数值计算方法对比, 验证了解析方法的有效性. 随后, 从吸声曲线、简化等效模型、归一化声阻抗、声压云图与质点速度分布等多角度对吸声特性及吸声机理进行了深入分析. 进一步, 采用差分优化算法开展了多元胞并联耦合宽带优化设计, 优化后典型超结构实现了90 mm厚度下在170—380 Hz低频段内平均吸声系数达到0.86的优异吸声效果. 最后, 制备了若干样件, 开展吸声测试, 实验结果与理论结果符合良好, 验证了解析建模与优化设计方法的准确性. 本文提出的内插缝Helmholtz共振腔吸声超结构具有结构简单、低频吸声性能好, 且易于加工制造等特点, 在低频噪声控制领域具有广阔的应用前景.
-
关键词:
- 吸声超结构/
- Helmholtz共鸣器/
- 内插缝/
- 低频吸声
Low-frequency noise has always been a thorny problem in the field of noise control. In recent years, the development of sound-absorbing metastructures has provided new ideas for controlling low-frequency noise. In this work, we propose a low-frequency sound-absorbing metastructure constructed by Helmholtz resonators with embedded slit. Analytical and numerical models are established to analyze the sound absorption performance and mechanism of the proposed sound-absorbing metastructure, and optimization design is conducted to achieve low-frequency wideband absorption performance. The analytical modeling method and the performance of the proposed sound-absorbing metastructure are also experimentally verified. The main conclusions are summarized as follows. 1) By using transfer matrix method and finite element method, analytical and numerical models for calculating sound absorption coefficient are established. It is shown that analytical predictions are in good agreement with numerical calculations. It is demonstrated that a typical design of a 30-mm-thick single-cell metastructure can achieve a sound absorption coefficient of 0.88 at 404 Hz. Typical designs of two-cell parallel structure and the four-cell parallel structure (both with a thickness of 50 mm) can achieve two and four nearly perfect low-frequency sound absorption peaks in a frequency band of 200–400 Hz, respectively. 2) The low-frequency sound absorption mechanisms of the proposed metastructures are explained from four aspects: simplified equivalent model parameters, normalized acoustic impedance, complex-plane zero/pole distribution, and sound pressure cloud image and particle velocity field distribution. It is demonstrated that the main sound absorption mechanism is related to the thermal viscous loss of sound waves, caused by the inner wall of embedded slit. 3) The design for broadband low-frequency absorption performance is optimized by using differential evolution optimization algorithm. An optimized parallel-multi-cell coupled metastructure with multiple perfect sound absorption peaks below 500 Hz is realized. For a thickness of 90 mm, the sound absorption coefficient curve of an optimized metastructure exhibits 8 almost perfect sound absorption peaks and an average sound absorption coefficient of 0.86 in a frequency range of 170-380 Hz. 4) Experimental samples are fabricated to test sound absorption. Experimental results are basically consistent with the analytical predictions. The results from analytical model, numerical calculations and experimental measurements are mutually verified. In summary, the sound-absorbing metastructures with a thickness of sub-wavelength, proposed in this work, exhibit outstanding sound absorption performance at low frequencies. We demonstrate that they are suitable for low frequency broadband sound absorption below 500 Hz. Owing to their thin thickness and relatively simple construction, they have broad application prospects in practical noise control engineering. -
Keywords:
- sound-absorbing metastructure/
- Helmholtz resonator/
- embedded slit/
- low frequency absorption
[1] [2] [3] [4] [5] [6] [7] [8] [9] [10] [11] [12] [13] [14] [15] [16] [17] [18] [19] [20] [21] [22] [23] [24] [25] [26] [27] [28] [29] [30] [31] [32] [33] [34] -
长L/mm 宽D/mm 高H/mm 缝宽d/mm 缝高lr/mm 100 100 30 2 10 长L/mm 宽D/mm 高H/mm 缝宽d1/mm 缝高lr1/mm 缝宽d2/mm 缝高lr2/mm 50 50 50 1.2 17.3 1.1 9.8 长L/mm 宽D/mm 高H/mm 缝宽d1/mm 缝高lr1/mm 缝宽d2/mm 缝高lr2/mm 缝宽d3/mm 缝高lr3/mm 缝宽d4/mm 缝高lr4/mm 50 50 50 2.7 42.3 1.7 17.9 1.3 8 1.3 4.7 元胞 1 2 3 4 5 6 7 8 缝宽d/mm 1.5 1.4 1.7 1.4 1.1 1.2 1.1 1.5 缝高lr/mm 84 35.1 70.6 10.6 10.3 23.5 15.3 50.6 -
[1] [2] [3] [4] [5] [6] [7] [8] [9] [10] [11] [12] [13] [14] [15] [16] [17] [18] [19] [20] [21] [22] [23] [24] [25] [26] [27] [28] [29] [30] [31] [32] [33] [34]
计量
- 文章访问数:1582
- PDF下载量:130
- 被引次数:0












下载:























