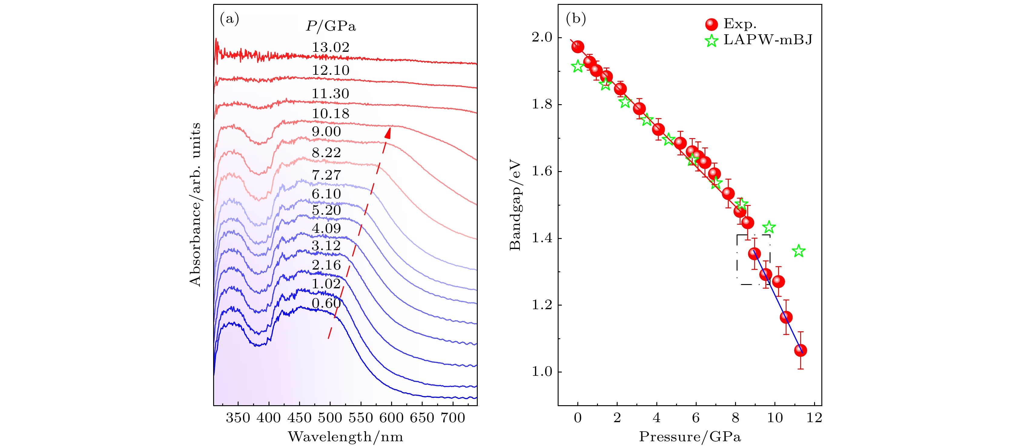
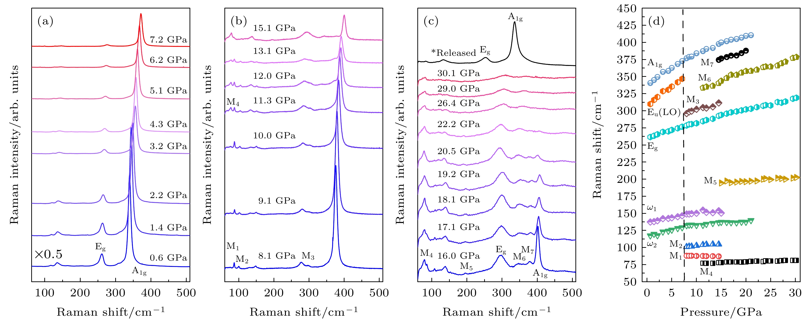
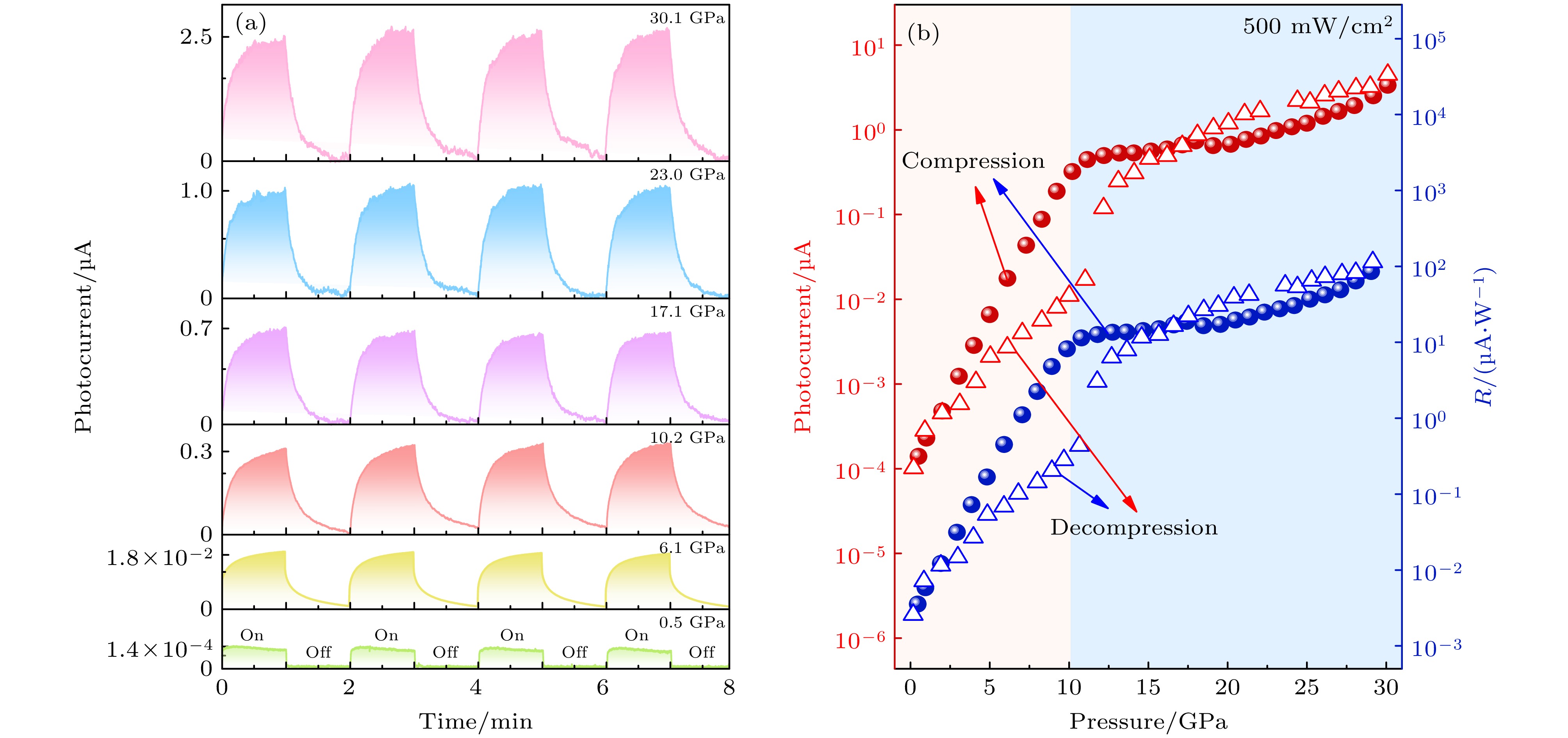
HfS2, as a typical IVB group transition metal dichalcogenide (TMD) material, has shown great potential applications in various fields such as photo-sensing, communication, and imaging due to its high carrier mobility and interlayer current density characteristics. Recent studies have revealed the significant role of pressure in modulating the spectral response range and electrical transport properties of TMDs, which has aroused our interest in studying the pressure regulation of the optoelectronic properties of HfS2. In this study, diamond anvil cell based high-pressure in-situ photocurrent, Raman scattering spectroscopy, alternating current impedance spectroscopy, ultraviolet-visible absorption spectroscopy measurements, and combined first-principles calculations are used to systematically investigate the effects of pressure on the electrical transport and optoelectronic properties of HfS2. The experimental results show that the photocurrent of HfS2 continuously increases with pressure rising. Within a pressure range of 0–10.2 GPa, the photocurrent and response of HfS2 show a rapid upward trend with pressure rising; at 10.2 GPa, the photocurrent and response of HfS2 (Iph = 0.32 μA, R = 8.19 μA/W) are about three orders of magnitude higher than their initial values at 0.5 GPa (Iph = 1.40 × 10–4 μA, R = 3.56 × 10–3 μA/W). At the pressure above 10.2 GPa, the growth rate of photocurrent and response slow down significantly, which are related to the structural phase transition of HfS2 near 10.0 GPa. Further compression to 30.1 GPa results in a maximum photocurrent of 3.35 μA, which is five orders of magnitude higher than its initial value at 0.5 GPa. This significant enhancement is attributed to the strengthening of S-S interlayer interaction forces under pressure, which leads band gap and resistivity to decrease. In addition, based on the modified Becke-Johnson (mBJ) exchange-correlation potential, the electronic band structure and optical properties of HfS2 in its initial phase are calculated and analyzed using WIEN2K software package. The calculation results show that with the increase of pressure, the optical absorption coefficient and the real part of the photoconductivity of HfS2 along the c-axis significantly increase, which further reveals the intrinsic physical mechanism of the enhanced photoresponse of HfS2 under pressure. This study offers a new insight into pressure regulated optoelectronic properties of layered materials.