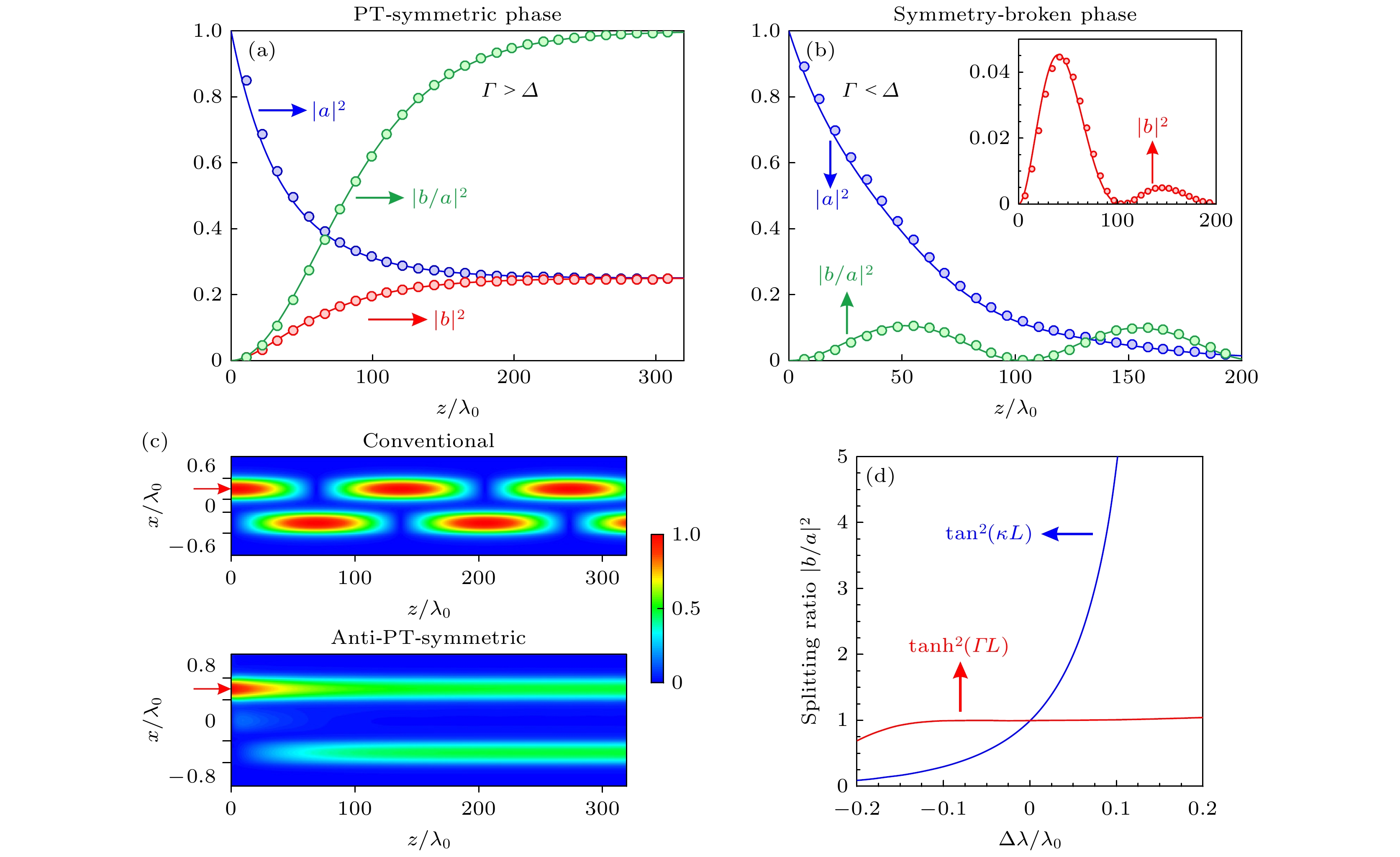
\begin{document}${\cal {PT}} $\end{document})对称特性的非厄米哈密顿量也具有实能谱, 并且在\begin{document}${\cal {PT}} $\end{document}对称相和\begin{document}${\cal {PT}} $\end{document}对称破缺相之间存在一个新奇的非厄米奇异点, 这是厄米系统所不具有的. 最近, 人们在各种各样的物理系统中实现了\begin{document}${\cal {PT}} $\end{document}对称和\begin{document}${\cal {PT}} $\end{document}反对称的非厄米哈密顿量, 并演示了新奇的量子现象, 这不仅加深了对基本量子物理规律的理解, 也促进了应用技术的突破. 本综述将介绍\begin{document}${\cal {PT}} $\end{document}对称和\begin{document}${\cal {PT}} $\end{document}反对称的基本物理原理, 总结在光学系统和原子系统中实现\begin{document}${\cal {PT}} $\end{document}对称和\begin{document}${\cal {PT}} $\end{document}反对称的方案, 并回顾利用\begin{document}${\cal {PT}} $\end{document}对称系统非厄米奇异点进行精密传感的研究."> - 必威体育下载

搜索

x

留言板

姓名
邮箱
手机号码
标题
留言内容
验证码

downloadPDF
引用本文:
Citation:

唐原江, 梁超, 刘永椿

Research progress of parity-time symmetry and anti-symmetry

Tang Yuan-Jiang, Liang Chao, Liu Yong-Chun
PDF
HTML
导出引用
计量
  • 文章访问数:9474
  • PDF下载量:998
  • 被引次数:0
出版历程
  • 收稿日期:2022-07-04
  • 修回日期:2022-08-16
  • 上网日期:2022-08-31
  • 刊出日期:2022-09-05

    返回文章
    返回
      Baidu
      map