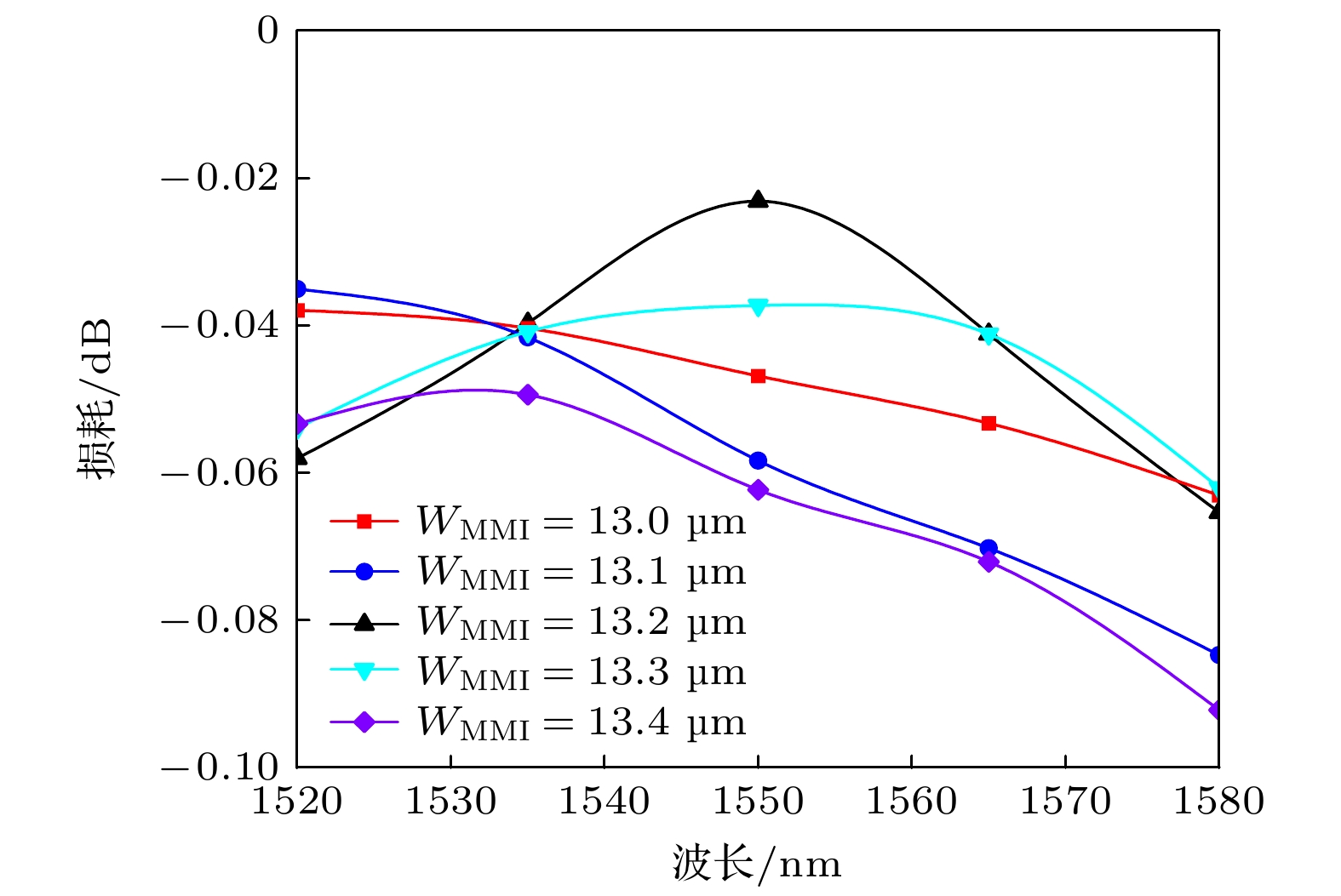
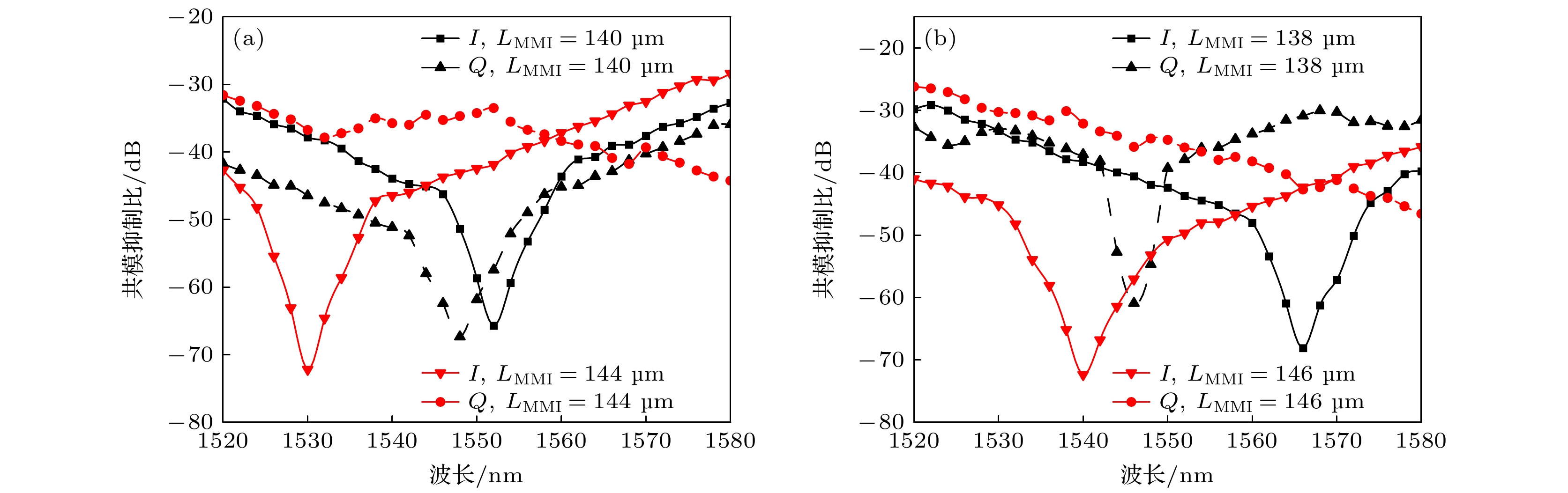
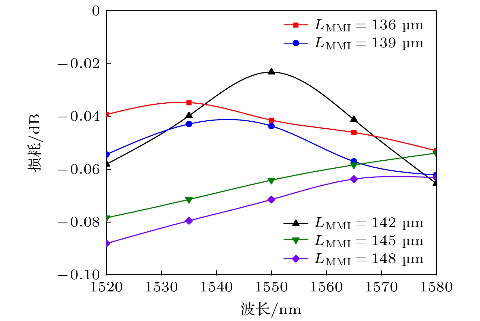
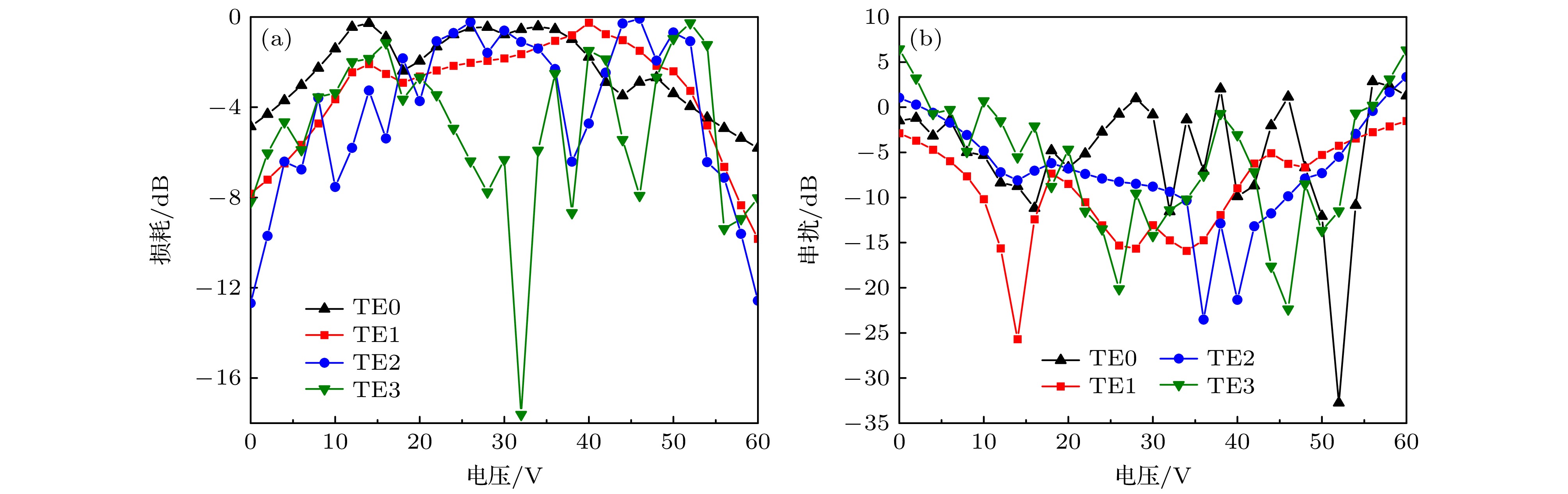
90°optical mixer, as an essential part of coherent optical communication and heterodyne detection, improves polarization discrimination and anti-interference capabilities, increases receiver sensitivity, and permits demodulation of higher-order modulation forms. The disadvantages of traditional 90° optical mixers, however, include their high precision needs, size, mode mismatch restrictions, polarization sensitivity, and single functionality. Utilizing a lithium niobate platform, a multimode interference (MMI) structure, and a micro-thermoelectric electrode array, and with the help of the finite difference time domain (FDTD) method, a multipurpose device that combines 90° optical mixing and mode separation capabilities is designed in this work. According to the results, when no voltage is applied across the micro-thermoelectric electrodes, the multipurpose device acts as a 90° optical mixer. The common-mode rejection ratios of all four outputs are all above –30 dB, phase errors are below 4°, and the losses in the wavelength range of 1520–1580 nm exceed –13.862 dB. When a voltage is applied across the micro-thermoelectric electrodes, TE0, TE1, TE2, and TE3 modes are separated by the multipurpose device acting as a mode splitter. In addition to controlling crosstalk fluctuation within 8.8 dB, the minimum loss divergence between modes is less than 0.024 dB. Research findings indicate that the physical characteristics of optical field interference within the MMI structure enable perfect phase matching and energy distribution across a wide spectrum range, even when no voltage is supplied across the micro-thermoelectric electrode terminals. By controlling the interference superposition process inside the multi-mode region and improving broadband 90° optical mixing parameters, the stable phase-matching conditions are maintained across the wide spectrum. The lithium niobate-based linear electro-optic effect (Pockels effect) modifies the waveguide refractive index distribution through an external electric field when a voltage is applied across the micro-thermoelectrodes. By changing the light field’s coupling path and propagation mode inside the MMI structure, the mode-separating integrator can precisely achieve mode separation, thereby confirming the efficiency of the electro-optic effect in optical functional control, which meets the isolation requirements for various mode optical signals. Furthermore, a systematical tolerance analysis of the device’s width and length is carried out, demonstrating how structural dimensional deviations affect the mode coupling efficiency and optical field interference circumstances. The integrated broadband 90° optical mixer and mode splitter device described in this paper has excellent process tolerance properties.