-
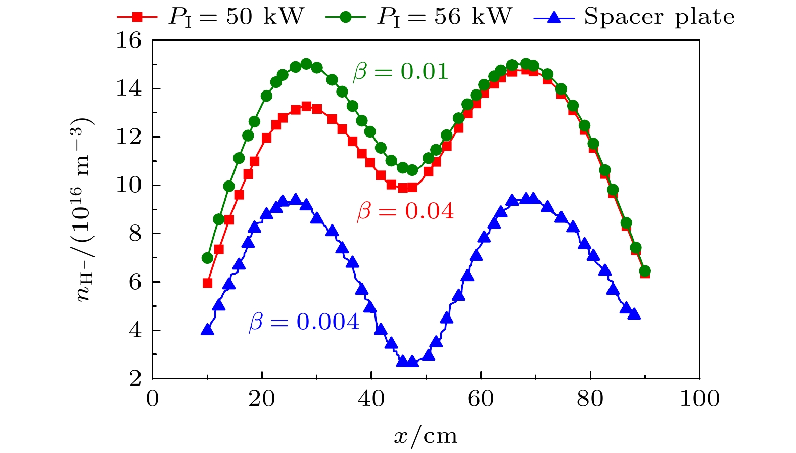
中性束注入是托卡马克装置中加热等离子体的主流辅助手段. 射频负氢离子源作为中性束注入系统的关键前端部件, 其性能直接影响中性束的质量. 目前, 提升负氢离子源性能仍是亟待深入研究的课题. 为此, 本文针对双驱动负氢离子源, 建立了一个三维流体模型, 用于模拟和优化表面产生机制下的负离子密度分布. 首先, 对比分析了体产生与表面产生两种机制下的等离子体参数, 结果表明表面产生机制获得的负离子密度比体产生机制高出1个数量级. 然而, 受过滤磁场影响, 引出区附近的负离子密度分布呈现不对称性. 为改善该不对称性, 在表面产生机制的基础上, 提出了两种优化方案: 1)在低密度侧增加射频源功率; 2)在扩散区引入隔板结构. 模拟结果显示, 两种方案均显著改善了负离子密度分布的对称性. 最后还提出了在扩散区背板添加磁屏蔽的方式来进一步优化负氢离子密度数值, 可以将扩散区下游的负离子密度提高69%.In neutral beam injection (NBI), which is a primary auxiliary heating method for tokamak plasmas, the negative hydrogen ion source (NHIS) functions as a critical front-end component governing neutral beam quality. The performance of NHIS remains a key challenge. This work presents a three-dimensional (3D) fluid model, which is developed for a double-driver NHIS to simulate and optimize surface-generated negative hydrogen ion density. A comparison of plasma parameters between the NHIS with Cs and without Cs shows that surface generation yields negative ion density one order of magnitude higher than volume generation. However, the presence of the magnetic filter field induces asymmetry in negative ion density within the extraction region. To improve this asymmetry, two approaches are proposed: 1) increasing the power of one of the drivers and 2) adding a spacer plate to the expansion region. After increasing the power of Driver I from 50 to 56 kW, the H– density asymmetry at the y = 25 cm intercept on the xy-plane (z = –22 cm) decreases from 0.04 to 0.01, and the value of H– density increases. Following the addition of a spacer plate, the H– density asymmetry further decreases to 0.004, but the value of H– density also shows a significant reduction. Finally, adding a magnetic shield to the back plate of the expansion region further optimizes H– density from 1.48×1017 m–3 to 2.50×1017 m–3, yielding a 69% increase downstream. This is because increased plasma transport into the expansion region enhances the dissociation rate of H2 molecules, thereby yielding more H atoms. The attenuation of the magnetic filter field in the driver region after adding a magnetic shield also enhances the symmetry of the H– density.
-
Keywords:
- neutral beam injection system /
- negative hydrogen ion source /
- 3-dimensional fluid modeling /
- negative ion
[1] [2] [3] [4] [5] [6] [7] [8] [9] [10] [11] [12] [13] [14] [15] [16] [17] [18] [19] [20] [21] [22] [23] [24] [25] [26] [27] [28] [29] [30] [31] [32] [33] [34] [35] [36] [37] [38] [39] [40] [41] [42] [43] -
反应 描述 文献 1. $ {\text{e}} + {{\text{H}}_2} \to {\text{e}} + {{\text{H}}_2} $ 弹性散射 [25] 2. $ \mathrm{e}+\mathrm{H}\to\mathrm{e+H} $ 弹性散射 [25] 3. $ {\text{e}} + {{\text{H}}_2} \to 2{\text{e}} + {\text{H}} + {{\text{H}}^ + } $ 解离电离 [26] 4. $ {\text{e}} + {{\text{H}}_2} \to 2{\text{e}} + {\text{H}}_2^ + $ 电离 [26] 5. $ {\text{e}} + {{\text{H}}_2} \to {\text{e}} + {\text{H}} + {\text{H}} $ 解离 [27] 6. $ {\text{e}} + {{\text{H}}_2} \to {\text{e}} + {\text{H}} + {\text{H}}(n = 2) $ 解离 [28] 7. $ {\text{e}} + {\text{H}} \to 2{\text{e}} + {{\text{H}}^ + } $ 电离 [26] 8. $ {\text{e}} + {\text{H}} \to {\text{e}} + {\text{H}}(n = 2, 3) $ 激发 [26] 9. $ {\text{e}} + {\text{H}}({\text{n}} = 2, 3) \to 2{\text{e}} + {{\text{H}}^ + } $ 电离 [26] 10.$ {\text{e}} + {\text{H}}_2^ + \to {\text{e}} + {{\text{H}}^ + } + {\text{H}} $ 解离激发 [26] 11.$ {\text{e}} + {\text{H}}_2^ + \to {\text{e}} + {{\text{H}}^ + } + {\text{H}}(n = 2) $ 解离激发 [28] 12.$ {\text{e}} + {\text{H}}_2^ + \to {\text{H}} + {\text{H}} $ 解离复合 [29] 13.$ {\text{e}} + {\text{H}}_3^ + \to {\text{e}} + 2{\text{H}} + {{\text{H}}^ + } $ 解离激发 [28] 14.$ {\text{e}} + {\text{H}}_3^ + \to 3{\text{H}} $ 复合 [29] 15.$ {\text{e}} + {\text{H}}_2^ + \to 2{\text{e}} + 2{{\text{H}}^ + } $ 解离 [26] 16.$ {\text{e}} + {{\text{H}}_2} \to {\text{e}} + {{\text{H}}_2}(v = 1 - 14) $ 激发 [30] 17.$ {\text{e}} + {{\text{H}}_2}(v = 1 - 14) \to {\text{e}} + 2{\text{H}} $ 解离 [31] 18.$ {\text{e}} + {{\text{H}}_2}(v = 1 - 14) \to {\text{H}} + {{\text{H}}^ - } $ 解离复合 [26] 19.$ {\text{H}}_2^ + + {{\text{H}}_2} \to {\text{H}}_3^ + + {\text{H}} $ 离子形成 [32] 20.$ {\text{e}} + {{\text{H}}^ - } \to 2{\text{e}} + {\text{H}} $ 电子溢出 [28] 21.$ {\text{H}}_2^ + + {{\text{H}}^ - } \to {\text{H}} + {{\text{H}}_2} $ 相互中和 [33] 22.$ {\text{H}}_2^ + + {{\text{H}}^ - } \to 3{\text{H}} $ 相互中和 [39] 23.$ {\text{H}}_3^ + + {{\text{H}}^ - } \to 2{{\text{H}}_2} $ 相互中和 [33] 24.$ {\text{H}}_3^ + + {{\text{H}}^ - } \to 4{\text{H}} $ 相互中和 [39] 25.$ {\text{H}}_{}^ + + {{\text{H}}^ - } \to {\text{H + H}} $ 相互中和 [39] 26.$ {\text{H}}_{}^ + + {{\text{H}}^ - } \to {\text{H + H}}(n = 2, {\text{ }}3) $ 相互中和 [33] 27.$ {\text{H}} + {{\text{H}}^ - } \to {\text{e}} + {{\text{H}}_2} $ 联合解离 [33] 28.$ {\text{wall \& PG: H}}_3^ + \to {{\text{H}}_2} + {\text{H}} $ 离子壁重组 [34] 29.$ {\text{wall \& PG: H}}_3^ + \to 3{\text{H}} $ 离子壁重组 [34] 30.$ {\text{wall \& PG: H}}_2^ + \to {{\text{H}}_2} $$ \to {\mathrm{H}}_{2} $ 离子壁重组 [34] 31.$ {\text{wall \& PG: H}}_2^ + \to 2{\text{H}} $ 离子壁重组 [34] 32.$ {\text{wall \& PG: }}{{\text{H}}^ + } \to {\text{H}} $ 离子壁重组 [34] 33.$ \text{wall \& PG: }\mathrm{H}+\mathrm{\mathrm{\mathrm{H}}}\to\mathrm{H}_2 $ H 壁重组 [35,36] 34.$ {\text{wall \& PG: H}}(n = 2, {\text{ }}3) \to {\text{H}} $ H(n) 壁重组 [35,37] 35.$ {\text{wall \& PG: }}{{\text{H}}_2}(v = 1-14) \to {{\text{H}}_2} $ 去激发 [35,38] 36.$ {\text{PG: H}} \to {{\text{H}}^ - } $ 表面产生 [40] 37.$ {\text{PG: }}{{\text{H}}^ + } \to {{\text{H}}^ - } $ 表面产生 [40] 38.$ {\text{PG: H}}_2^ + \to 2{{\text{H}}^ - } $ 表面产生 [40] 39.$ {\text{PG: H}}_3^ + \to {{\text{H}}_2} + {{\text{H}}^ - } $ 表面产生 [40] 40.$ {\text{PG: H}}_3^ + \to 3{{\text{H}}^ - } $ 表面产生 [40] -
[1] [2] [3] [4] [5] [6] [7] [8] [9] [10] [11] [12] [13] [14] [15] [16] [17] [18] [19] [20] [21] [22] [23] [24] [25] [26] [27] [28] [29] [30] [31] [32] [33] [34] [35] [36] [37] [38] [39] [40] [41] [42] [43]
计量
- 文章访问数: 1536
- PDF下载量: 61
- 被引次数: 0








下载: