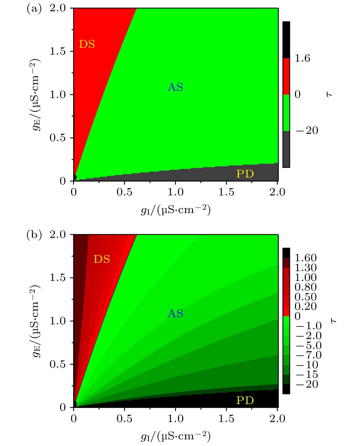
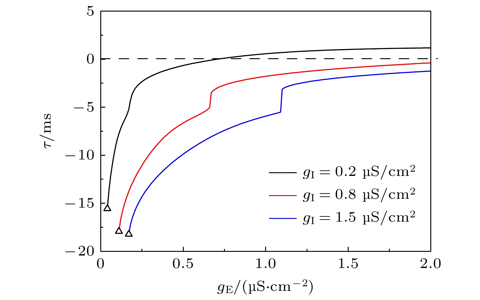
Anticipated synchronization, the response of the driven subsystem which appears earlier than the stimulation from the driving subsystem, is a universally counterintuitive nonlinear behavior. This behavior is also observed in the experiment on the nervous system in different brain regions. In the present paper, the anticipated synchronization phenomenon evoked by the inhibitory autapse is simulated in the coupled system composed of Morris-Lecar model, and the condition of excitability of single neurons and parameter ranges for the anticipated synchronization is presented. For a coupled system composed of two neurons, whether both neurons are either type-I excitability/Hopf bifurcation or type-II excitability/saddle-node bifurcation on an invariant cycle, in a driven neuron unidirectionally receiving the excitatory synaptic current from a driving neuron the delayed synchronization (the response of the driven neuron appears after the drive of the driving neuron) instead of the anticipated synchronization is simulated. After the inhibitory autapse is introduced into the driven neuron, the anticipated synchronization can be simulated in the coupled neurons when both neurons are of type-II excitability. With the increase of the conductance of the inhibitory autapse, the transition from delayed synchronization to anticipated synchronization is simulated. The time interval between spike of the driving and driven neuron is acquired, and the parameter ranges of anticipated synchronization in the plane of conductance of the inhibitory autapse and excitatory synapse are obtained. However, if both neurons are of type-I excitability, only delayed synchronization is simulated for the driven neuron with inhibitory autapse. Furthermore, the appearance of anticipated synchronization for type-II neurons and no anticipated synchronization for type-I neurons are suggested to have a relationship between the different responses of firing to external inhibitory stimulation for neurons with type-II excitability and type-I excitability. For spiking of type-II neuron, when an inhibitory pulse stimulation is applied, the spike following the pulse appears earlier than the one in the absence of stimulation in a wide range of the stimulation phase. However, for spiking behavior of type-I excitability, the spike following an inhibitory pulse stimulation appears later than the spike in the absence of stimulation. The results present the condition of single neurons for the appearance of anticipated synchronization induced by the inhibitory self-feedback mediated by autapse, which is helpful for understanding the dynamics of the counter-intuitive behavior, anticipated synchronization, presenting possible measures to modulate the anticipated synchronization, and proving directions for further study of anticipated synchronization.