Topological invariants of non-Hermitian topological systems can be captured by local topological markers defined on the biorthogonal basis. However, unlike the scenario of Hermitian systems, the dynamics of non-Hermitian local topological marker has not yet received much attention so far.
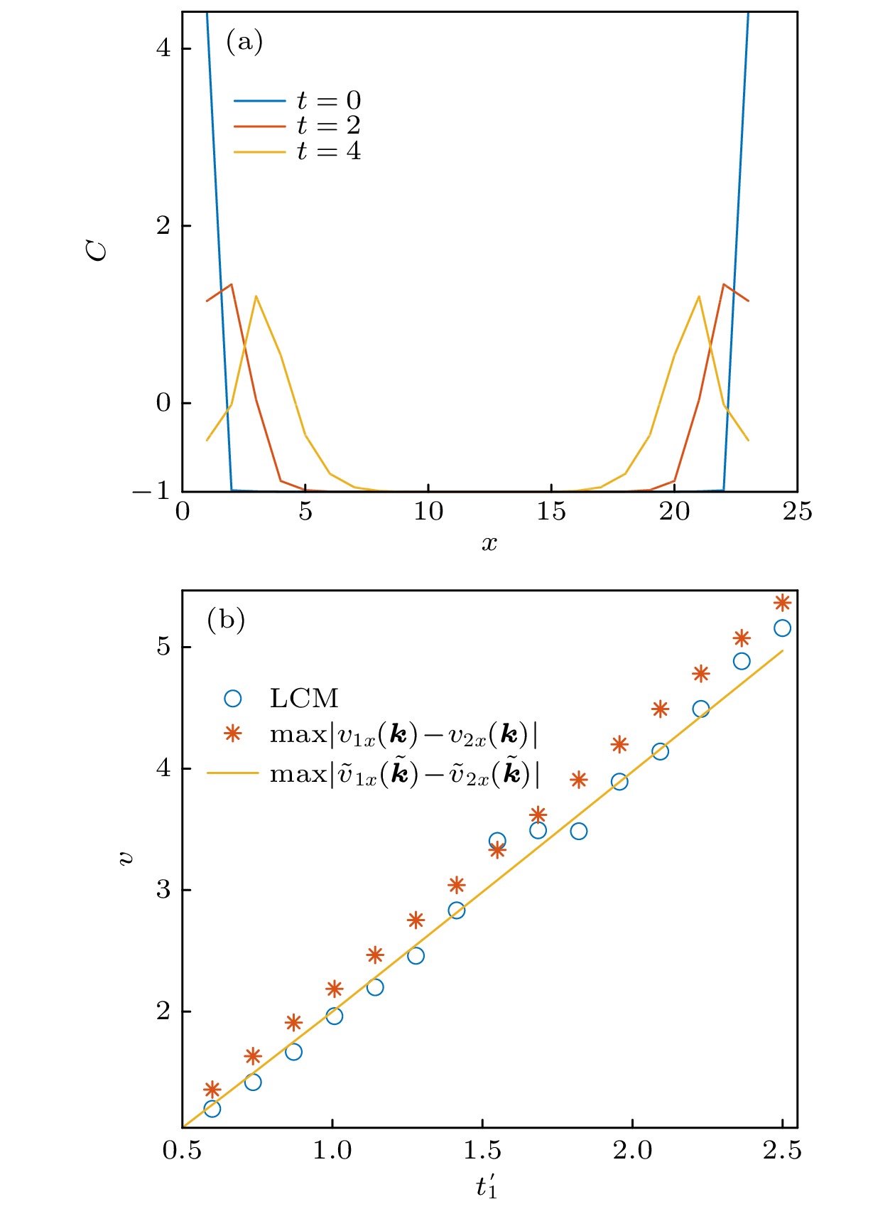
Here in this work, we study the dynamic features of local topological markers in non-Hermitian topological systems. In particular, we focus on the propagation of non-Hermitian topological markers in quench dynamics. We find that for the dynamics with topologically distinct pre- and post-quench Hamiltonians, a flow of local topological markers emerges in the bulk, with its propagation speed related to the maximum group velocity. Taking three different non-Hermitian topological models for example, we numerically calculate the propagation speed, and demonstrate that a simple universal relation between the propagation speed and group velocity does not exist, which is unlike the scenarios in previously studied Hermitian systems. Our results reveal the complexity of the local-topological-marker dynamics in non-Hermitian settings, and would stimulate further study on the matter.