| [1] | Feng Jia-Feng, Wei Hong-Xiang, Yu Guo-Qiang, Huang Hui, Guo Jing-Hong, Han Xiu-Feng.Exchange bias effect of current Joule thermally modulated inverted vertical (Co/Pt) n/Co/IrMn nanomultilayers. Acta Physica Sinica, 2023, 72(1): 018501.doi:10.7498/aps.72.20221584 | 
         
          | [2] | Zhang Xing-Wen, He Chao-Tao, Li Xiu-Lin, Qiu Xiao-Yan, Zhang Yun, Chen Peng.Resistance switching effect regulated by magnetic field in Ni/ZnO/BiFeO3/ZnO multilayers. Acta Physica Sinica, 2022, 71(18): 187303.doi:10.7498/aps.71.20220609 | 
         
          | [3] | She Yan-Chao, Zhang Wei-Xi, Wang Ying, Luo Kai-Wu, Jiang Xiao-Wei.Effect of oxygen vacancy defect on leakage current of PbTiO3 ferroelectric thin film. Acta Physica Sinica, 2018, 67(18): 187701.doi:10.7498/aps.67.20181130 | 
         
          | [4] | Li Ping, Xu Yu-Tang.Monte Carlo simulation of time-dependent dielectric breakdown of oxide caused by migration of oxygen vacancies. Acta Physica Sinica, 2017, 66(21): 217701.doi:10.7498/aps.66.217701 | 
         
          | [5] | Liu Dong-Qing, Cheng Hai-Feng, Zhu Xuan, Wang Nan-Nan, Zhang Chao-Yang.Research progress of memristors and memristive mechanism. Acta Physica Sinica, 2014, 63(18): 187301.doi:10.7498/aps.63.187301 | 
         
          | [6] | Wei Xiao-Ying, Hu Ming, Zhang Kai-Liang, Wang Fang, Liu Kai.Micro-structural and resistive switching properties of vanadium oxide thin films. Acta Physica Sinica, 2013, 62(4): 047201.doi:10.7498/aps.62.047201 | 
         
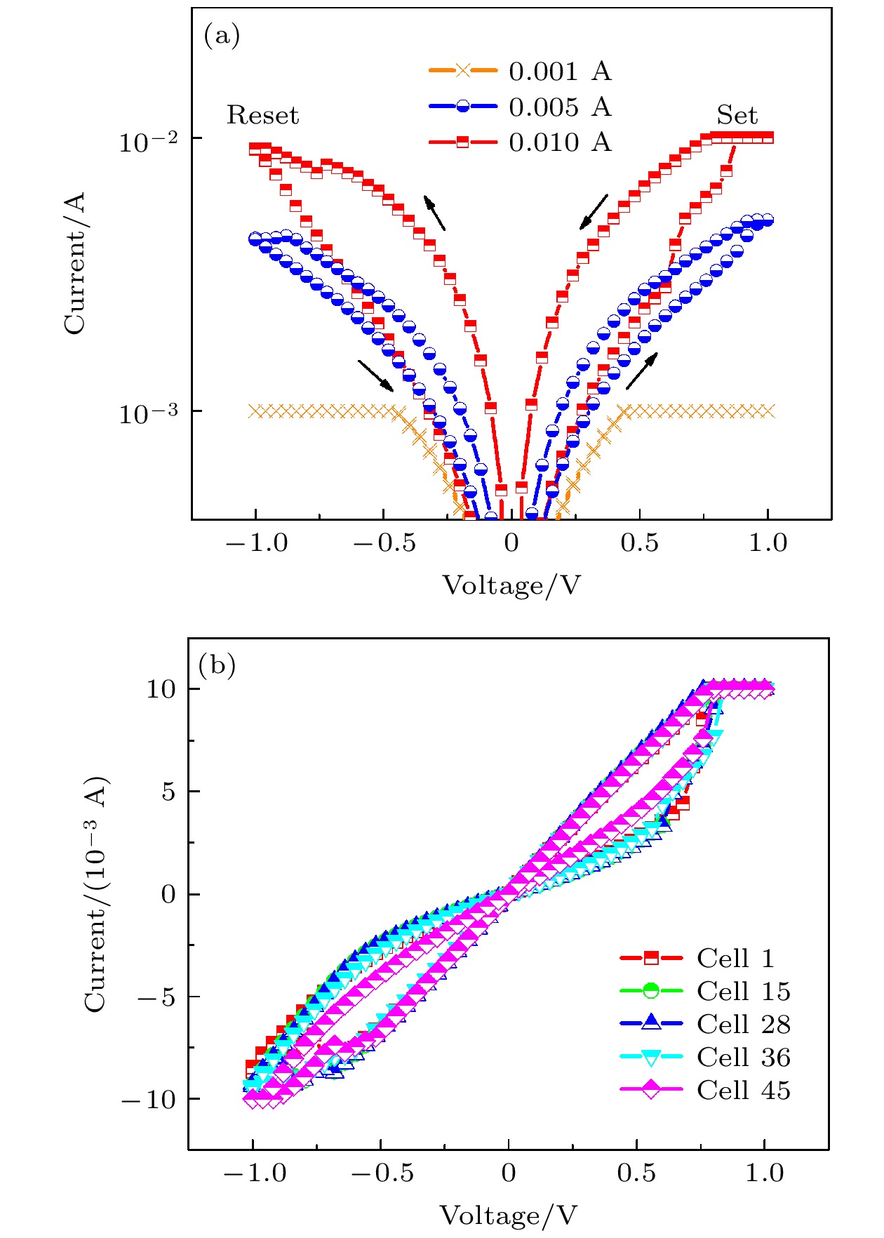
          | [7] | Li Hong-Xia, Chen Xue-Ping, Chen Qi, Mao Qi-Nan, Xi Jun-Hua, Ji Zhen-Guo.Effects of bottom electrode on resistive switching characteristics of ZnO films. Acta Physica Sinica, 2013, 62(7): 077202.doi:10.7498/aps.62.077202 | 
         
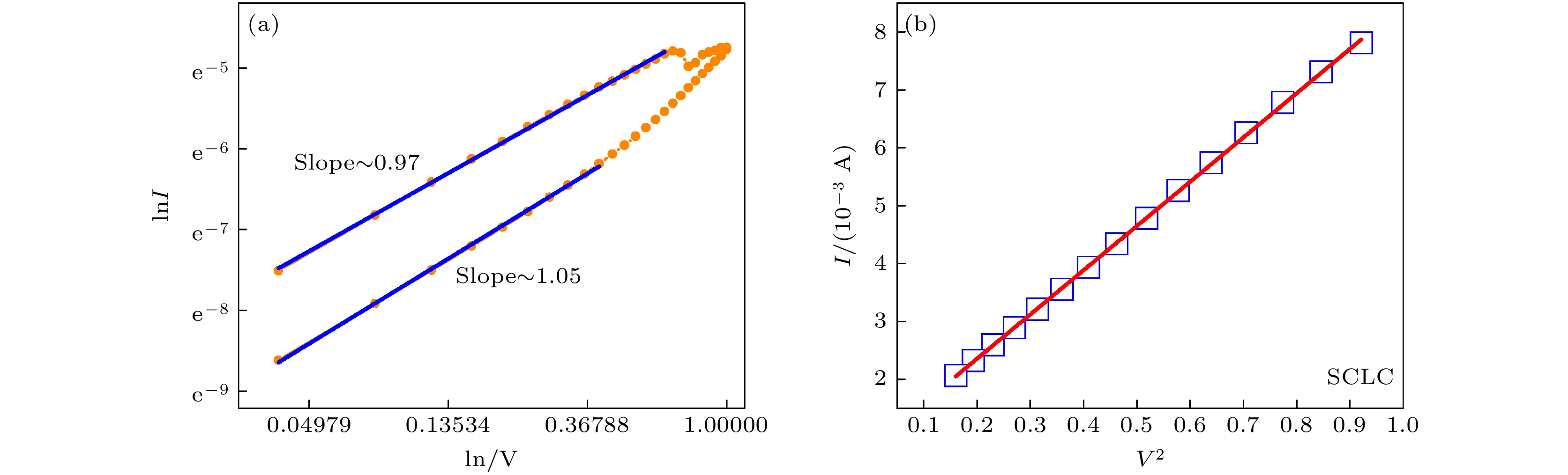
          | [8] | Luo Yang, Duan Yu, Chen Ping, Zang Chun-Liang, Xie Yue, Zhao Yi, Liu Shi-Yong.Preliminary investigation on the method of determining electron mobility of tris (8-hydroxyquinolinato) aluminum by space charge limited current. Acta Physica Sinica, 2012, 61(14): 147801.doi:10.7498/aps.61.147801 | 
         
          | [9] | Yu Huang-Zhong.Measurement of the hole mobility in the blend system by space charge limited current. Acta Physica Sinica, 2012, 61(8): 087204.doi:10.7498/aps.61.087204 | 
         
          | [10] | Li Fei, Xiao Liu, Liu Pu-Kun, Yi Hong-Xia, Wan Xiao-Sheng.Simple theory of space-charge-limited current between concentric sphere. Acta Physica Sinica, 2011, 60(9): 097901.doi:10.7498/aps.60.097901 | 
         
          | [11] | Bao Bo-Cheng, Zhou Guo-Hua, Xu Jian-Ping, Liu Zhong.Dynamical modeling and analysis of current mode controlled switching converter with ramp compensation. Acta Physica Sinica, 2010, 59(6): 3769-3777.doi:10.7498/aps.59.3769 | 
         
          | [12] | Zhao Hong-Dong, Zhang Wei-Hua, Li Wen-Chao, Liu Hui-Li, Sun Mei.Influence of current aperture size on threshold in double oxide confined vertical-cavity surface-emitting lasers. Acta Physica Sinica, 2010, 59(6): 3948-3952.doi:10.7498/aps.59.3948 | 
         
          | [13] | Zhu Zhang-Ming, Zhong Bo, Yang Yin-Tang.An accurate Joule heat model of RLC interconnect based on π equivalent circuit. Acta Physica Sinica, 2010, 59(7): 4895-4900.doi:10.7498/aps.59.4895 | 
         
          | [14] | Zhao Wen-Shan, He Yi-Gang.An improved method for implementation of wavelet transform utilizing switched-current filters. Acta Physica Sinica, 2009, 58(2): 843-851.doi:10.7498/aps.58.843 | 
         
          | [15] | Shi Wei, Tian Li-Qiang, Wang Xin-Mei, Xu Ming, Ma De-Ming, Zhou Liang-Ji, Liu Hong-Wei, Xie Wei-Ping.A high-voltage and high-current photoconductive semiconductor switch and its breakdown characteristics. Acta Physica Sinica, 2009, 58(2): 1219-1223.doi:10.7498/aps.58.1219 | 
         
          | [16] | Gang Jian-Lei, Li Song-Lin, Meng Yang, Liao Zhao-Liang, Liang Xue-Jin, Chen Dong-Min.Reproducible low-current resistive switching of metal/Pr0.7Ca0.3MnO3/Pt junctions with a point-contact top electrode. Acta Physica Sinica, 2009, 58(8): 5730-5735.doi:10.7498/aps.58.5730 | 
         
          | [17] | Hu Qin-Chun, He Yi-Gang, Guo Di-Xin, Li Hong-Min.Analog implementation of wavelet transform based on switched-current filter circuits. Acta Physica Sinica, 2006, 55(2): 641-647.doi:10.7498/aps.55.641 | 
         
          | [18] | Qu Guang-Hui, Shi Wei.Inductive current and conductive current in photoconductor switches. Acta Physica Sinica, 2006, 55(11): 6068-6072.doi:10.7498/aps.55.6068 | 
         
          | [19] | BAD KE-DA, XIONG JIA-JIONG.INVESTIGATION OF THE LARGEST CURRENT IN A RANDOM RESISTOR NETWORK. Acta Physica Sinica, 1990, 39(8): 121-127.doi:10.7498/aps.39.121 | 
         
          | [20] | HWA C. Y., WANG S. Y., CHANG Z. C..ULTRA-HIGH VACUUM IONIZATION GAUGES WITH DIRECTLY HEATED ELECTRODES. Acta Physica Sinica, 1963, 19(2): 83-89.doi:10.7498/aps.19.83 |