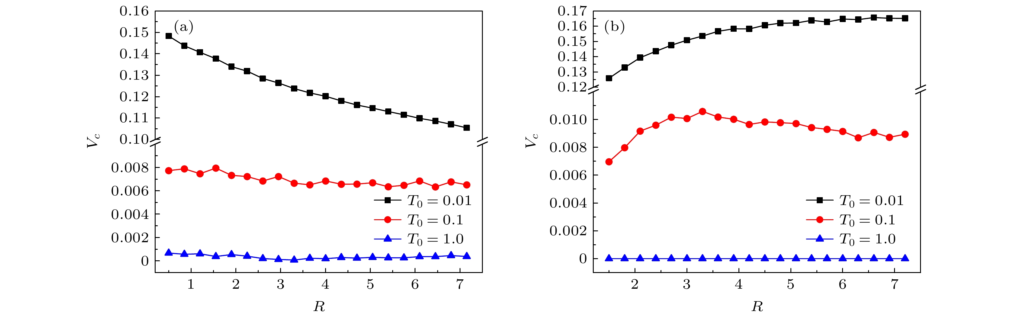
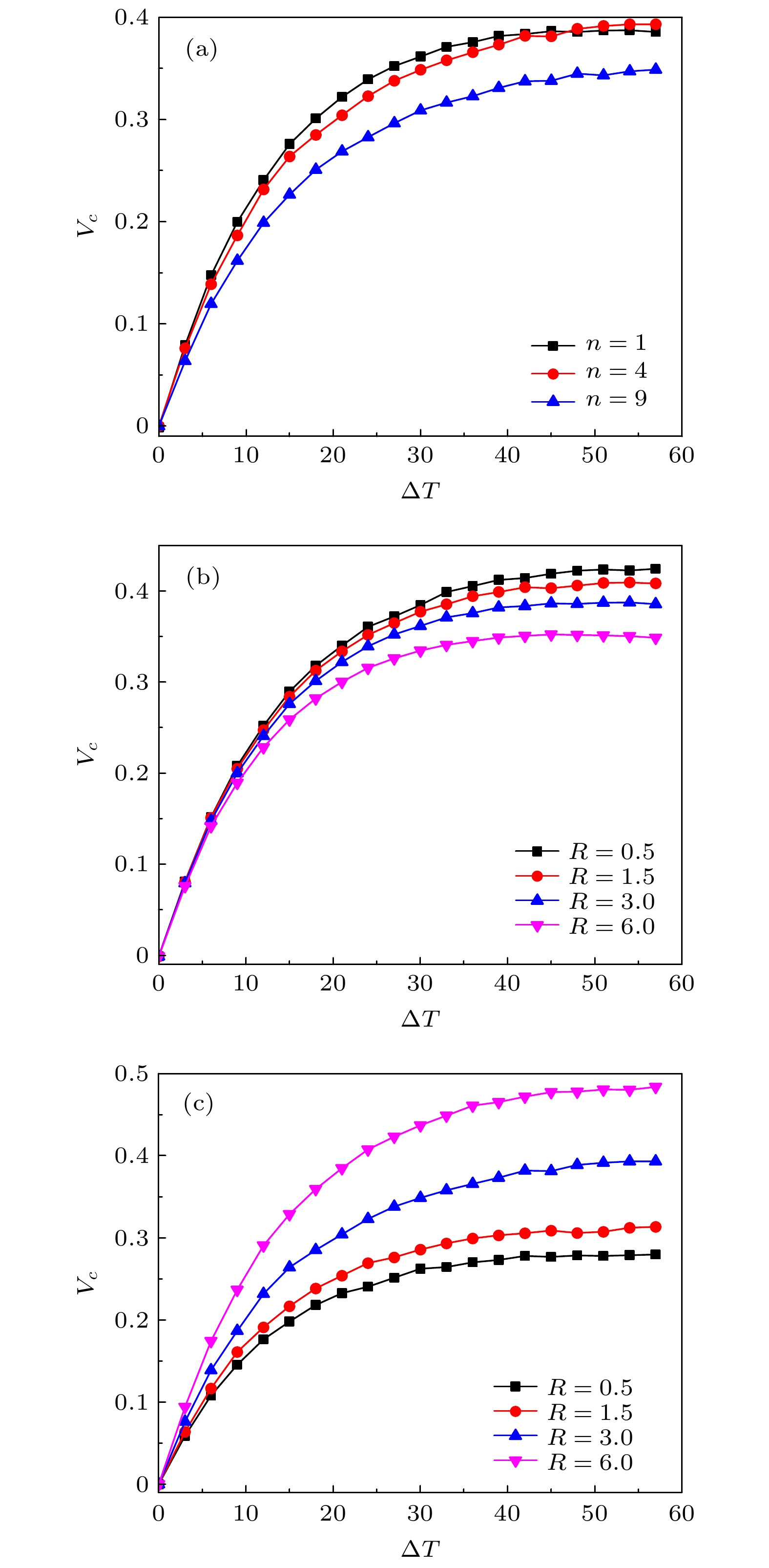
Active matter is a new and challenging field of physics. Chiral active particle experiences a constant torque and performs circular motion due to the self-propulsion force not aligning with the propulsion direction. Recently, most of studies of the active particle systems focused on constant temperature, but did not take into consideration the constraints by the barriers. In our work, the rectification of a ring containing chiral active particles with transversal temperature difference is numerically investigated in a two-dimensional periodic channel. It is found that the ring powered by chiral active particles can be rectified by the transversal temperature difference and the direction of the transport is determined by the chirality of active particles. The average velocity is a peaked function of angular velocity, the temperature of the lower wall or temperature difference. The transport behaviors of the ring containing one chiral active particle is qualitatively different from those of the ring containing several particles. Especially, the ring radius can strongly affect the transport behaviors. For the ring containing one chiral active particle, the interaction between the particle and the ring facilitates the rectification of the ring when the circular trajectory radius of the chiral particle is large. The average velocity decreases with the increase of the ring radius because the propelling force to the ring by the particle is small. When the circular trajectory radius is small, the interaction between the particle and the ring suppresses the transport. The speed increases as the ring radius increases because the directional transport comes from the difference in temperature between the upper wall and the lower wall. For the ring containing several particles, the interaction between particles reduces the rectification of the ring. The average velocity increases with the increase of the ring radius due to the interaction between particles decreasing. Remarkably, the velocity of the ring decreases as the particle number increases when the ring radius is small, but is a peaked function when the ring radius is not small. Our results offer new possibilities for manipulating an active particle flow on a microscale, and can be applied practically to propelling carriers and motors by a bath of bacteria or artificial microswimmers, such as hybrid micro-device engineering, drug delivery, micro-fluidics, and lab-on-chip technology.