GaN-based semiconductor has been used in optoelectronics and electronic devices. It is a new research topic at present that how its good electrical properties are integrated together to explore other applications in theory or experiment. In this work, SCAPS-1D software is used to calculate the mechanism of GaN electron transport in an FTO/GaN/(FAPbI
3)
0.85(MAPbBr
3)
0.15/HTL perovskite solar cell (PSC) structure. The results show that when GaN is used in PSC, the
V
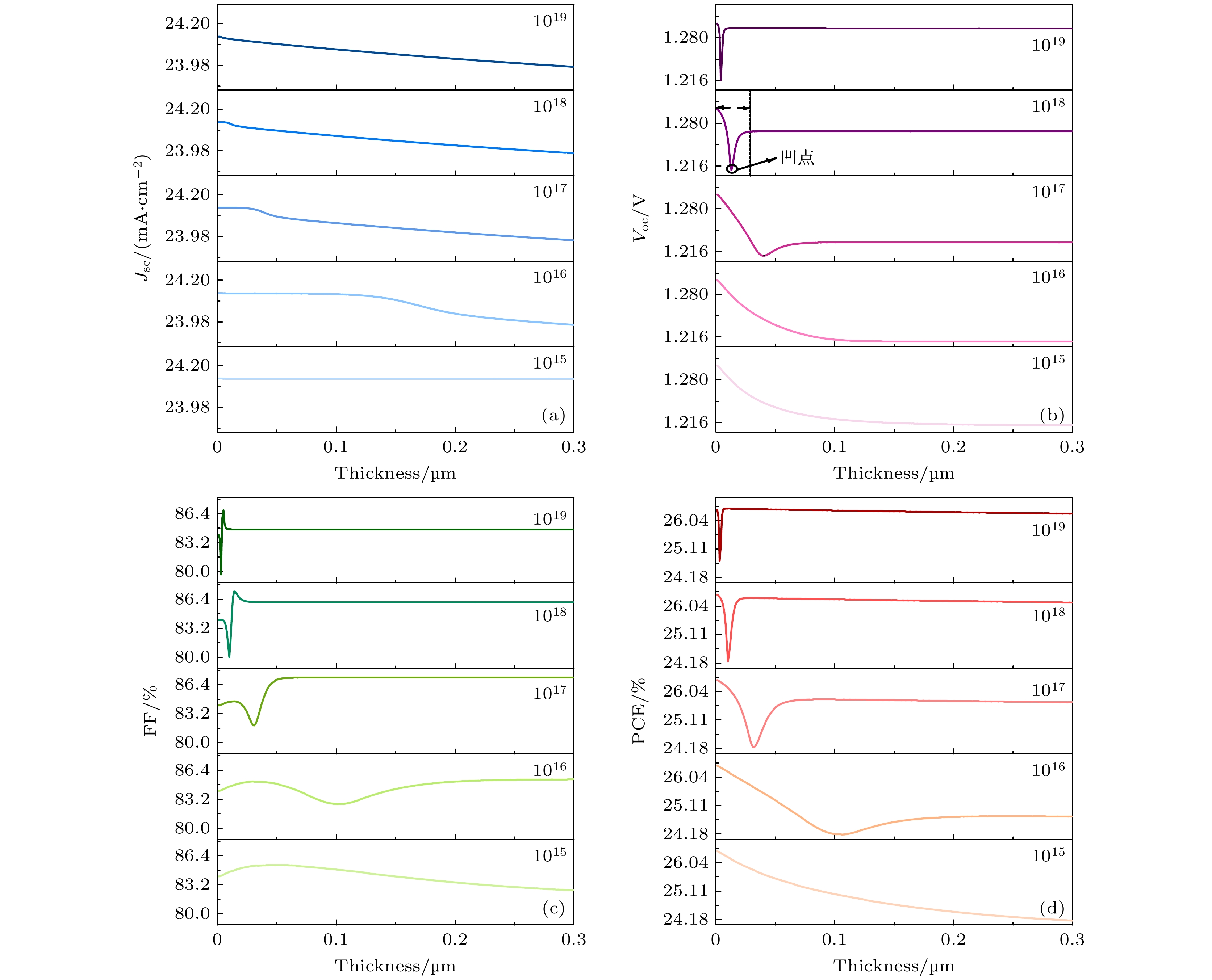
ocincreases from 0.78 V to 1.21 V, PCE increases from 15.87% to 24.18%, and that the small conduction band cliff formed between GaN and the active layer can improve the efficiency of the cell. Quasi-Fermi level splitting, interfacial electric field, interfacial recombination rate and depletion zone thickness at different doping concentrations s are analyzed. The influences of GaN thickness and doping concentration on open-circuit voltage and other device parameters are investigated. The physical mechanism of GaN as an electron transport layer is discussed. With the increase of the thickness, the
J
scof this solar cell decreases gradually, but the change range is not large (24.13—23.83 mA/cm
2). The
V
ocdecreases from 1.30 V to 1.21 V when the thickness of GaN exceeds 100nm, and then keeps stable. The power conversion efficiency changing regularity appears in the form of “pits” —first decreases, then increases, and finally keeps stable, with the highest efficiency being 24.76% and the corresponding GaN thickness being 245 nm. The FF shows a trend, which is first decreasing, then increasing, and finally leveling off. In the case of the doping concentration and thickness change at the same time, during the increase of doping concentration, the
J
scdecreases gradually with the increase of thickness, but the overall change range is small, and the open-circuit voltage, filling factor and conversion efficiency all show “pits” changes. When the thickness of GaN is 200 nm, with the concentration of GaN doping increasing, the quasi Fermi level splitting increases, and the strength of the built-in electric field between the active layer and the GaN layer increases, thus providing a greater driving force for carrier separation, resulting in a larger potential difference Δ
μ, and thus a larger
V
oc. With the increase of doping concentration, the recombination rate of the active layer/GaN layer interface and the recombination rate inside the active layer increase, which leads the value of
J
scto decrease. It is found that the position of the “concave point” of
V
ocunder the change of GaN thickness is determined by varying the GaN doping concentration, the width of GaN depletion region between GaN/FTO, and the width of GaN depletion region between GaN/active layer determine the width of the whole “pit”. In summary, the cell parameters can be improved by simultaneously changing the thickness and doping concentration of GaN.