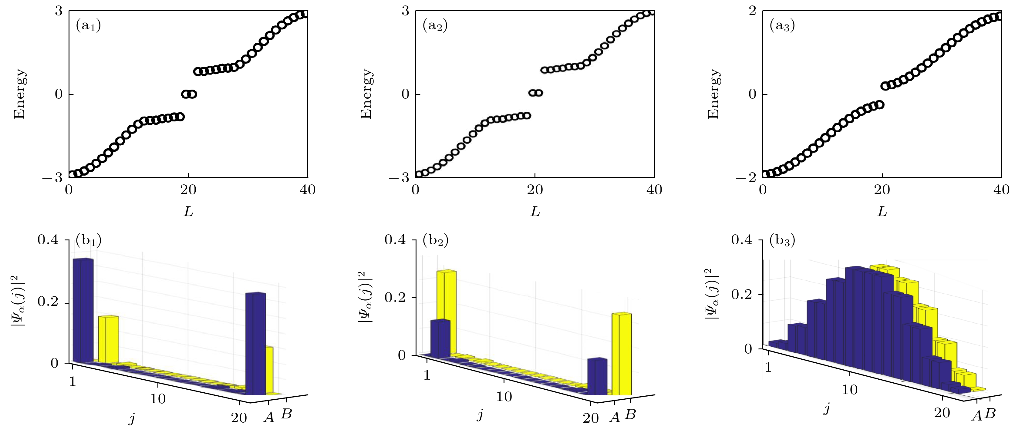
2018 Phys. Rev. Appl. 10 054009]. According to this work, herein we present a two-leg SSH model implemented in superconducting circuits and demonstrate the existence of topological nonmediocre nodes. Firstly, two-leg superconducting circuit with transmon qubits which are coupled with their nearest-neighbor sites by capacitors is designed. To construct the two-leg SSH model, we introduce two alternating-current magnetic fluxes to drive each transmon qubit. We discover two types of phase boundaries in the SSH model and obtain the corresponding energy spectra and phase diagram. We identify two distinct topological insulating phases characterized by winding number ±1, and the corresponding edge states exhibit distinct characteristics. Moreover, we discuss the topological properties of the two phase boundaries. By representing the Bloch states as a vector field in k space, we demonstrate the existence of two kinks of nonmediocre nodes with first-type phase boundaries. These two nonmediocrenodes possess distinct topological charges of 1 and –1, respectively. On the other hand, the nonmediocre nodes with the second-type phase boundaries are topologically trivial. These results open the way for exploring novel topological states, ladder physical systems, and nodal point topological semimetals."> - 必威体育下载

Search

Article

x

留言板

姓名
邮箱
手机号码
标题
留言内容
验证码

downloadPDF
Citation:

Guan Xin, Chen Gang
PDF
HTML
Get Citation
Metrics
  • Abstract views:2470
  • PDF Downloads:100
  • Cited By:0
Publishing process
  • Received Date:07 February 2023
  • Accepted Date:13 May 2023
  • Available Online:22 May 2023
  • Published Online:20 July 2023

    返回文章
    返回
      Baidu
      map