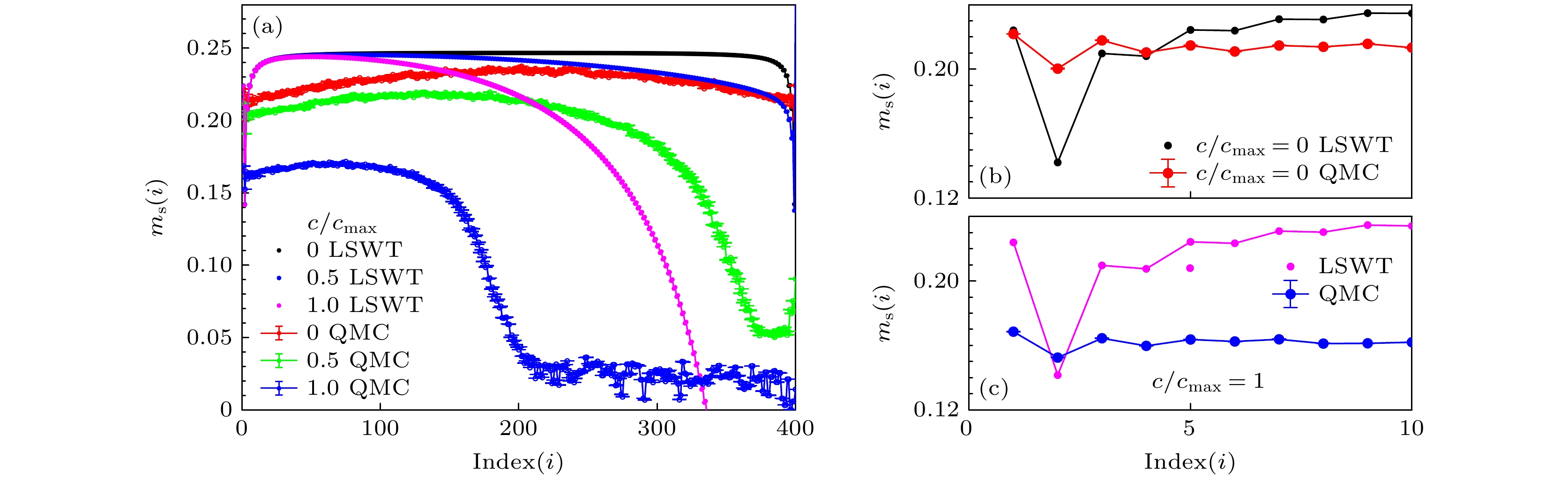
The pseudo-Landau energy levels of a hexagonal lattice quantum antiferromagnet under bending strain are studied by linear spin-wave theory (LSWT) and quantum Monte Carlo method (QMC). Using the linear spin wave theory, the magnetic pseudo-Landau energy level can be found to appear at the high-energy end of the magnon spectrum, and the energy level spacing is proportional to the square root of the energy level index. The linear spin wave theory and the quantum Monte Carlo method both indicate that at the same size, the local magnetization gradually weakens with the gradual increase of the strain strength. Additionally, the antiferromagnetic order continuously weakens in the
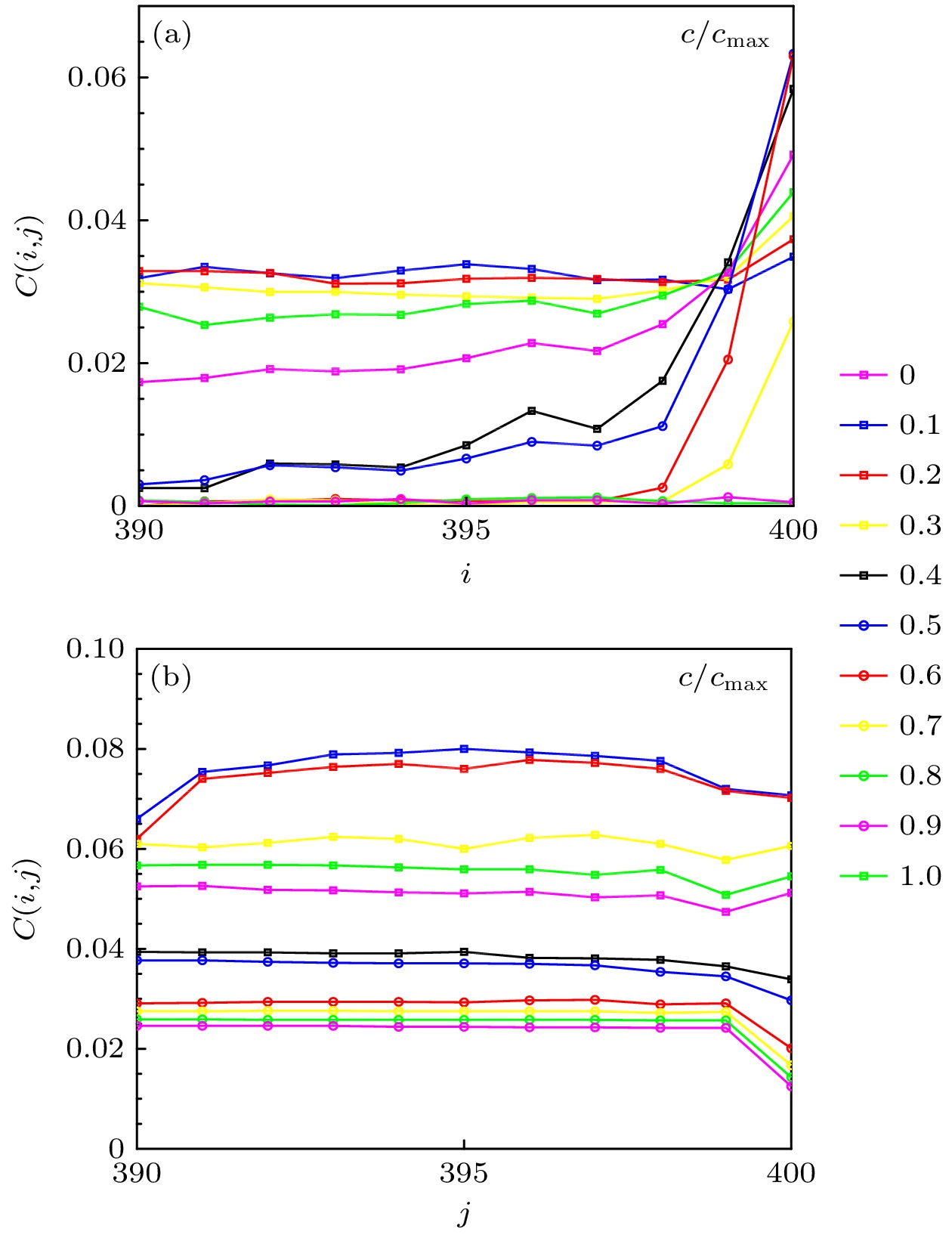
y-direction under the same strain strength. This occurs because the Heisenberg chain on the upper boundary becomes decoupled into an isolated vertical chain, leading to the destruction of the magnetic order near the upper boundary. The quantum Monte Carlo method provides a more accurate antiferromagnetic sequence evolution, that is, the vertical correlation at the upper boundary is unchanged and the horizontal correlation increases under a specific strain intensity. This affects the magnetization intensity, so that the local magnetization shows an upward trend at the upper boundary. The results contribute to the understanding of the effect of bending strain on spin excitations, and this effect may be observed in two-dimensional quantum magnetic material experiments.