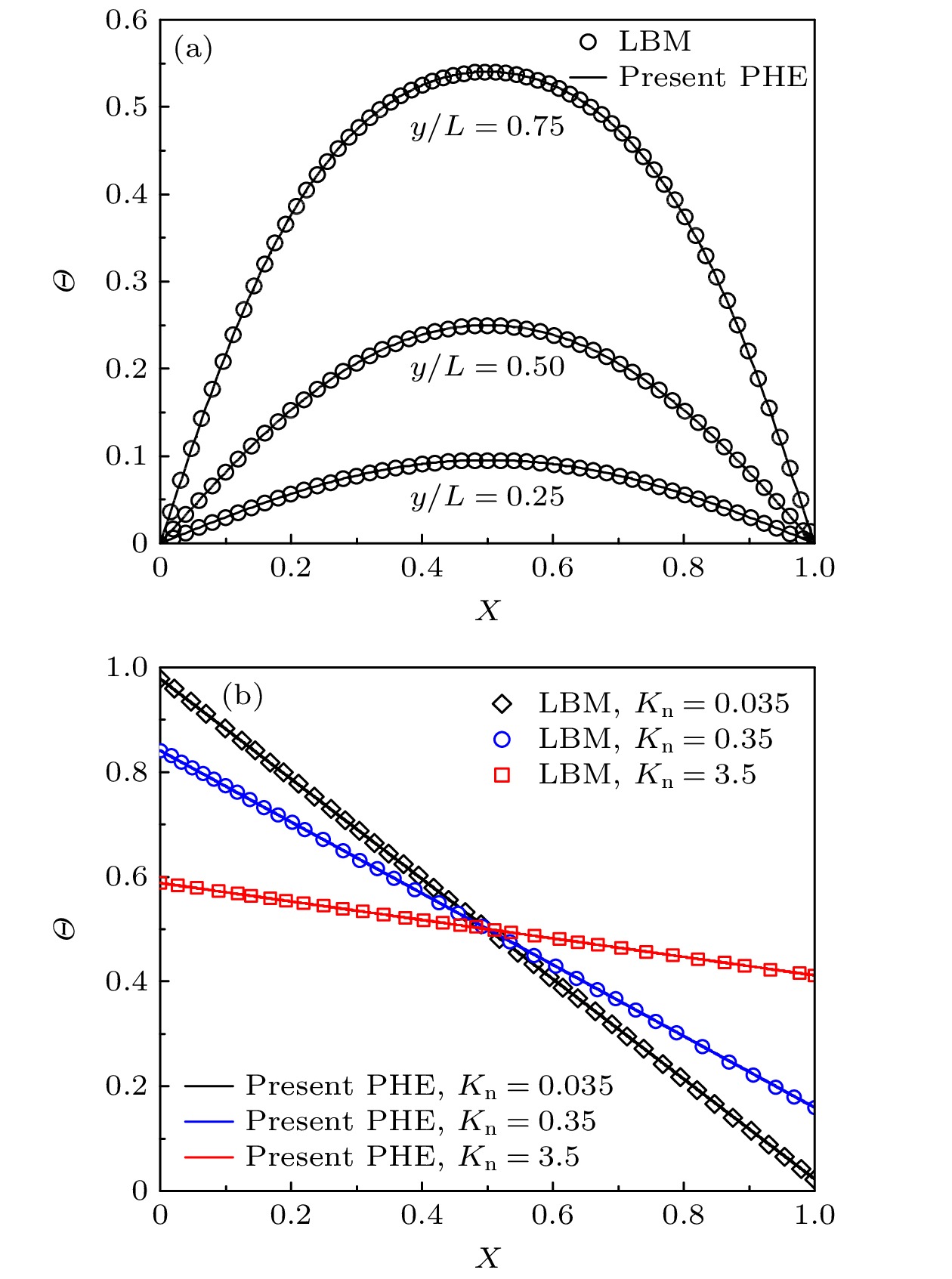
Compared to the classical Fourier’s law, the phonon hydrodynamic model has demonstrated significant advantages in describing ultrafast phonon heat transport at the nanoscale. The gate-all-around field-effect transistor (GAAFET) greatly optimizes its electrical performance through its three-dimensional channel design, but its nanoscale characteristics also lead to challenges such as self-heating and localized overheating. Therefore, it is of great significance to study the internal heat transport mechanism of GAAFET devices to obtain the thermal process and heat distribution characteristics. Based on this, this paper conducts theoretical and numerical simulation analyses on the phonon heat transfer characteristics within nanoscale GAAFET devices. Firstly, based on the phonon Boltzmann equation, the phonon hydrodynamic model and boundary conditions are rigorously derived, establishing a numerical solution method based on finite elements. For the novel GAAFET devices, the effects of factors such as surface roughness, channel length, channel radius, gate dielectric, and interface thermal resistance on their heat transfer characteristics are analyzed. The research results indicate that the larger the surface roughness, the smaller the channel length and the channel radius, the larger the interface thermal resistance leads to the higher hot spot peak temperature. The non-Fourier heat analysis method based on the phonon hydrodynamic model and temperature jump condition within the continuous medium framework constructed in this paper can accurately predict the non-Fourier phonon heat conduction process inside GAAFET and reveal the mechanisms of resistive scattering and phonon/interface scattering. This work provides important theoretical support for further optimizing the thermal reliability design of GAAFET, improving its thermal stability, and operational performance.