Gallium nitride chips are widely used in high-frequency and high-power devices. However, thermal management is a serious challenge for gallium nitride devices. To improve thermal dissipation of gallium nitride devices, the nonequilibrium molecular dynamics method is employed to investigate the effects of operating temperature, interface size, defect density and defect types on the interfacial thermal conductance of gallium nitride/graphene/diamond heterostructure. Furthermore, the phonon state densities and phonon participation ratios under various conditions are calculated to analyze the interface thermal conduction mechanism.
The results indicate that interfacial thermal conductance increases with temperatures rising, highlighting the inherent self-regulating heat dissipation capabilities of heterogeneous. The interfacial thermal conductance of monolayer graphene structures is increased by 2.1 times as the temperature increases from 100 to 500 K. This is attributed to the overlap factor increasing with temperature rising, which enhances the phonon coupling between interfaces, leading the interfacial thermal conductance to increase.
Additionally, in the study it is found that increasing the number of layers of both gallium nitride and graphene leads the interfacial thermal conductance to decrease. When the number of gallium nitride layers increases from 10 to 26, the interfacial thermal conductance decreases by 75%. The overlap factor diminishing with the layer number increasing is ascribed to the decreased match of phonon vibrations between interfaces, resulting in lower thermal transfer efficiency. Similarly, when the number of graphene layers increases from 1 to 5, the interfacial thermal conductance decreases by 74%. The increase in graphene layers leads the low-frequency phonons to decrease, consequently lowering the interfacial thermal conductance. Moreover, multilayer graphene enhances phonon localization, exacerbates the reduction in interfacial thermal conductance.
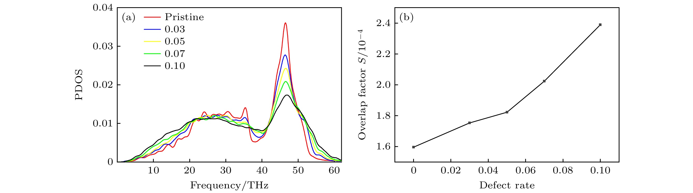
It is found that introducing four types of vacancy defects can affect the interfacial thermal conductance. Diamond carbon atom defects lead its interfacial thermal conductance to increase, whereas defects in gallium, nitrogen, and graphene carbon atoms cause their interfacial thermal conductance to decrease. As the defect concentration increases from 0 to 10%, diamond carbon atom defects increase the interfacial thermal conductance by 40% due to defect scattering, which increases the number of low-frequency phonon modes and expands the channels for interfacial heat transfer, thus improving the interfacial thermal conductance. Defects in graphene intensify the degree of graphene phonon localization, consequently leading the interfacial thermal conductance to decrease. Gallium and nitrogen defects both intensify the phonon localization of gallium nitride, impeding phonon transport channels. Moreover, gallium defects induce more severe phonon localization than nitrogen defects, consequently leading to lower interfacial thermal conductance.
This research provides the references for manufacturing highly reliable gallium nitride devices and the widespread use of gallium nitride heterostructures.